This section proposes several classical settings where the basic model of this chap- ter is useful. Introducing adverse selection in each of these contexts has proved to be a significative improvement of standard microeconomic analysis.
1. Regulation
In the Baron and Myerson (1982) regulation model, the principal is a regulator who maximizes a weighted average of the consumers’ surplus S(q) − t and of a regulated monopoly’s profit U = t − θq, with a weight α < 1 for the firm’s profit. The principal’s objective function writes now as V = S(q) − θq − (1 − α)U . Because α < 1 it is socially costly to give up a rent to the firm. Maximizing expected social welfare under incentive and participation constraints leads to qSB = q∗ for the efficient type and a downward distortion for the inefficient type, q¯SB < q¯*, which is given by
![]()
Note that a higher value of α reduces the output distortion, because the regulator is less concerned by the distribution of rents within society as α increases. If α = 1, the firm’s rent is no longer costly and the regulator behaves as a pure efficiency maximizer implementing the first-best output in all states of nature.
The regulation literature of the last fifteen years has greatly improved our understanding of government intervention under asymmetric information. We refer to Laffont and Tirole (1993) for a comprehensive view of this theory and its various implications for the design of real world regula-tory institutions.
2. Nonlinear Pricing by a Monopoly
In Maskin and Riley (1984), the principal is the seller of a private good with production cost cq who faces a continuum of buyers. The principal has thus a utility function V = t − cq. The tastes of a buyer for the private good are such that his utility function is U = θu(q) − t, where q is the quantity consumed and t his payment to the principal. Suppose that the parameter l of each buyer is drawn independently from the same distribution on
with respective probabilities 1 − v and v.
We are now in a setting with a continuum of agents. However, it is mathe- matically equivalent to the framework of section 2.5 with a single agent. Now the distribution of θ to be considered is the actual distribution of types, i.e., r is the frequency of type θ¯ by the Law of Large Numbers. It is important to stress this interpretation because it considerably enlarges the relevance of the principal-agent model analyzed before.
Incentive and participation constraints can as usual be written directly in terms of the information rents
as

The principal’s program now takes the following form:

The analysis is the mirror image of that of section 2.5, where now the efficient type is the one with the highest valuation for the good θ¯. Hence, (2.99) and (2.100) are the two binding constraints. As a result, there is no output distortion with respect to the first-best outcome for the high valuation type and
, where
.
However, there exists a downward distortion of the low valuation agent’s out- put with respect to the first-best outcome. We have qSB < q∗, where
![]()
So the unit price is not the same if the buyers demand q¯∗ or qSB, hence the expression of nonlinear prices.
The literature on nonlinear pricing is huge. The interested reader will find in Tirole (1988), Varian (1988), and Wilson (1993) excel-lent reviews of this topic. In chapter 9, we discuss the link between direct revelation mechanisms and nonlinear prices, and in particular how and when the optimal direct mechanism can be implemented with a menu of simple linear prices in the case of a continuum of types that has been the focus of most of the nonlinear pricing literature.
3. Quality and Price Discrimination
Mussa and Rosen (1978) studied a very similar problem to the one in section 2.15.2, where agents buy one unit of a commodity with quality q but are vertically differentiated with respect to their preferences for the good. The marginal cost (and average cost) of producing one unit of quality q is C(q) and the principal has the utility function V = t − C(q). The utility function of an agent is now U = θq − t with θ in
, with respective probabilities 1 − v and v.
Incentive and participation constraints can still be written directly in terms of the information rents
as

The principal solves now:

Following procedures similar to what we have done so far, only (2.104) and (2.105) are binding constraints. Finally, we find that the high valuation agent receives the first-best quality
. However, quality is now reduced below the first-best for the low valuation agent. We have qSB < q∗, where
![]()
Interestingly, the spectrum of qualities (defined as the difference of qualities between what is obtained respectively by the high valuation and by the low valuation agent) is larger under asymmetric information than under complete information. This incentive of the seller to put a low quality good on the market is a well-documented phenomenon in the industrial organization literature. Some authors have even argued that damaging its own goods may be part of the firm’s optimal selling strategy when screening the consumers’ willingness to pay for quality is an important issue.
4. Financial Contracts
Asymmetric information significantly affects the financial markets. For instance, in Freixas and Laffont (1990) the principal is a lender who provides a loan of size k to a borrower. Capital costs Rk to the lender since it could be invested elsewhere in the economy to earn the risk-free interest rate R. The lender has thus a utility function V = t − Rk. The borrower makes a profit U = θf(k) − t where θf(k) is the production with k units of capital and t is the borrower’s repayment to the lender. We assume that f‘ > 0 and f ” < 0. The parameter θ is a productivity shock drawn from
with respective probabilities 1 − v and v.
Incentive and participation constraints can again be written directly in terms of the borrower’s information rents
as

The principal’s program takes now the following form:

We let the reader check that (2.109) and (2.110) are now the two binding con- straints. As a result, there is no capital distortion with respect to the first-best outcome for the high productivity type and
. In this case, the return on capital is equal to the risk-free interest rate. However, there also exists a downward distortion in the size of the loan given to a low productivity borrower with respect to the first-best outcome. We have kSB < k∗, where
![]()
Screening borrowers according to the size of their loans amounts to some kind of rationing for the low productivity firms. This phe- nomenon is well documented in the finance literature, and we refer to Freixas and Rochet (1999, chap. 5) for a more complete analysis and further ref- erences on screening in financial contracts. We will see in section 3.6 that instead of using the loan size the lender may also rely on other screening devices, like auditing or the threat of termination, to get valuable information about the firm requesting financing.
5. Labor Contracts
Asymmetric information also undermines the relationship between a worker and the firm for which he works. In Green and Kahn (1983) and Hart (1983b) among others, the principal is a union (or a set of workers) providing its labor force l to a firm. To simplify the analysis, we assume that the union has full bargaining power in determining the labor contract with the firm and that the latter has a zero reservation utility.
The firm makes a profit θf(l) − t, where f(l) is the return on labor and t is the worker’s payment. We assume that f ‘ > 0 and f” < 0. The parameter θ is a productivity shock drawn from
with respective probabilities 1 − v and v. In the labor contracting literature, the firm knows the realization of the shock and the union ignores its value. The firm’s objective is to maximize its profit U = θf(l) − t. Workers have a utility function defined on consumption and labor. If their disutility of labor is counted in monetary terms and all revenues from the firm are consumed, they get V = v(t − l) where l is their disutility of providing l units of labor and v(·) is increasing and concave (v‘ > 0p v” < 0).
In this context, the firm’s boundaries are determined before the realization of the shock and contracting takes place ex ante. The ex ante participation constraint is written in a way similar to (2.71). It should be clear that the model is similar to that of section 2.11.2 with a risk-averse principal and a risk-neutral agent.
Using the results of that section, we know that the risk-averse union will propose a contract to the risk-neutral firm which provides full insurance and implements the first-best levels of employments l¯* and l∗, defined respectively by ![]()
Let us now turn to the more difficult case where workers have a utility func- tion exhibiting an income effect, and let us assume, to simplify, that V = v(t) − l. The first-best optimal contract would still require efficient employment in both states of nature. Moreover, it would also call for equating the worker’s marginal utility of income across states:
![]()
and making the firm’s expected utility equal to zero:
![]()
Solving those latter two equations for the pair of transfers
immediately yields
, where E(·) denotes the expectation operator with respect to θ and θ˜ is the random effect.
Inserting this value of the transfer into the union’s objective function, the principal chooses the levels of employment that are obtained as solutions to
![]()
We immediately find the first-best levels of labor,
![]()
and
![]()
It follows that
. Using the fact that f” < 0, we finally obtain that l¯* > l∗. The firm uses more labor when the productivity shock is larger.
Let us now consider the case of asymmetric information. The firm’s incentive compatibility constraints in both states of nature are written as
![]()
in the good state θ¯, and
![]()
in the bad state θ.
Summing (2.117) and (2.118), we immediately obtain the implementability condition
![]()
Note that the first-best menu
satisfies (2.117) but vio-lates (2.118). Therefore, let us look for an optimal incentive feasible contract where the binding incentive constraint prevents the firm from claiming that a high shock θ¯ has realized when, in fact, a low shock θ has realized. In this example, the bad type θ wants to mimic the good type θ¯. This may be surprising in view of the previous analysis carried out in this chapter. To understand this result, it is useful to look at figure 2.10 where we have represented the first-best contracts A∗ and B∗ of the θ¯-firm and the θ-firm respectively.

Figure 2.10: First-Best Labor Contracts
The indifference curves of the firm are concave in the (l, t) space with higher levels of utility obtained as one moves towards the southeast. The θ¯-indifference curve has a greater slope than the θ-one so that the single crossing property still holds in our context.
At the first-best, the union requests a constant wage because it is averse to monetary risk. A∗ and B∗ are thus on the same horizontal line. If the union offers this pair of contracts under asymmetric information, the firm has an incentive to always claim that state θ¯ realized and obtain more labor. To avoid this, the union may propose the incentive compatible menu (A∗, C). The firm is then indifferent between A∗ and C in state θ and strictly prefers A∗ to C in state θ¯. This menu is good from an allocative point of view, because the levels of employment are still equal to their first-best values. However, this contract makes the union bear an excessive risk in monetary transfers. This risk can be reduced by decreasing the gap between l¯ and l. Because of the impact of asymmetric information on the marginal utility of income of the union members in both states of nature, it is hard to assess graphically how the second-best optimal contract should be chosen.
Let us move therefore to a formal derivation of this second-best contract. The union’s problem writes now as

where (2.120) is the firm’s ex ante participation constraint.
Let us denote the respective multipliers of these constraints with λ and µ.
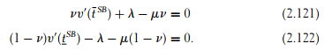
Optimizing with respect to t¯ and t leads to

Summing (2.121) and (2.122), we immediately obtain that
. As expected, the firm’s participation constraint (2.120) is bind- ing. Using (2.121) and (2.122), we also get
. To satisfy (2.118) and (2.119), it must be that t¯SB ≥ tSB. Moreover, the equality holds only if we have bunching and l¯ = l. For l¯ > l, the inequality is strict. In this case, λ > 0 and the incentive constraint (2.118) is also binding. This allows us to finally express the optimal second-best transfers as

Substituting the transfers into the principal’s objective function and optimiz- ing with respect to l¯ and l, we finally obtain

Or, to put it differently:

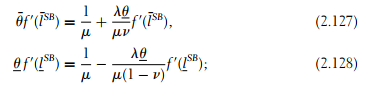
where

and

The system of four nonlinear equations (2.127) through (2.130) is quite hard to solve. One reason for this difficulty is that one cannot immediately deduce from (2.127) and (2.128) that l¯SB is smaller and lSB is larger than the corresponding first-best values. Indeed, the marginal utility of income µ changes between both settings.
Nevertheless, one point is worth making. Assume that v”’ > 0; then, by Jensen’s inequality
![]()
Using (2.128), we observe that
![]()
Conditionally on the level of labor l¯SB in state θ¯ (which, keep in mind, is no longer equal to the first-best level l¯*) the inequality (2.132) shows that there is an incentive to expand output in state θ above what would be optimal under complete information. This can be interpreted as a source of overemployment in the model.
In state θ¯, things are less clear. To reduce the costly incentive con-straint (2.118), the union wants θ¯SB to be chosen closer to lSB than at the first-best. However, because lSB has a priori been shifted upward, this does not imply that l¯SB is below its first-best value. The complete comparison with the first-best levels of employment depends on the utility function.
This section has illustrated how income effects make the analysis much harder even in two-type models. Those income effects were avoided in the standard model of this chapter since the principal’s marginal utility of income was one under com- plete and asymmetric information. Doing so may be justified in partial equilibrium settings where income effects may be negligible.
Green and Kahn (1983) and Chari (1983) have also highlighted the incentives for overemployment in similar models but with a contin-uum of types. Neglecting the impact on the marginal utility of income, all types are induced to expand outputs when the local incentive constraints have a positive multiplier. The normality of leisure can be shown to be a sufficient condition for this property. For further references on this topic, the interested reader can look at Hart and Holmström (1987) and the references therein.
Appendix 2.1: Proof of Proposition 2.5
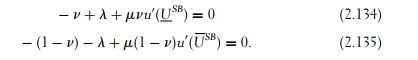
Let us form the following Lagrangian for the principal’s problem

where λ is the multiplier of (2.21) and µ is the multiplier of (2.65).
Optimizing w.r.t. U and U¯ yields respectively

Summing (2.134) and (2.135), we obtain
![]()
and thus µ > 0. Using (2.136) and inserting it into (2.134) yields
![]()
Moreover, (2.21) implies that
and thus λ ≥ 0, with λ > 0 for a positive output y.
Optimizing with respect to outputs yields respectively
![]()
and
![]()
Simplifying by using (2.137) yields (2.66).
Source: Laffont Jean-Jacques, Martimort David (2002), The Theory of Incentives: The Principal-Agent Model, Princeton University Press.
