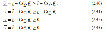
Still keeping quasi-linear utility functions, let U = t − C(q,θ ) now be the agent’s objective function with the assumptions: Cq > 0, Cθ > 0, Cqq > 0 and Cqqθ > 0. The generalization of the Spence-Mirrlees property used so far is now Cqθ > 0. This latter condition still ensures that the different types of the agent have indif- ference curves which cross each other at most once. It is obviously satisfied in the linear case C(q,θ) = θq that was analyzed before. Economically, this Spence- Mirrlees property is quite clear; it simply says that a more efficient type is also more efficient at the margin.
The analysis of the set of implementable allocations proceeds closely, as was done previously. Incentive feasible allocations satisfy the following incentive and participation constraints:

1. The Optimal Contract
Following the same steps as in section 2.5, the incentive constraint of an efficient type in (2.40) and the participation constraint for the inefficient type in (2.43) are the two relevant constraints for optimization. These constraints rewrite respec- tively as
![]()
where
(with Φ‘ > 0 and Φ“ > 0 from the assumptions made on C(·)) and
![]()
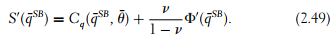
Those constraints are both binding at the second-best optimum, which leads to the following expression of the efficient type’s rent
![]()
Since Φ‘ > 0, reducing the inefficient agent’s output also reduces, as in Sec-tion 2.6, the efficient agent’s information rent.
With the assumptions made on C(·), one can also check that the principal’s objective function is strictly concave with respect to outputs. The solution of the principal’s program can finally be summarized as follows:
Proposition 2.3: With general preferences satisfying the Spence-Mirrlees property, Cqθ > 0, the optimal menu of contracts entails:
- No output distortion with respect to the first-best outcome for the efficient type, qSB = q∗ with
![]()
A downward output distortion for the inefficient type, q¯SB < q¯* with
![]()
and
![]()
- Only the efficient type gets a positive information rent given by U SB = Φ(q¯SB).
- The second-best transfers are respectively given by tSB = C(q∗, θ) +

The first-order conditions (2.47) and (2.49) characterize the optimal solution if the neglected incentive constraint (2.41) is satisfied. For this to be true, we need to have
![]()
which amounts to
![]()
We have Φ‘ > 0 from the Spence-Mirrlees property, hence (2.51) is equivalent to q¯SB ≤ qSB. But from our assumptions we easily derive that qSB = q∗ > q¯* > q¯SB. So the Spence-Mirrlees property guarantees that only the efficient type’s incentive constraint has to be taken into account.
The critical role played by the Spence-Mirrlees property in simplifying the problem will appear more clearly in models with more than two types.
Remark: The Spence-Mirrlees property is more generally a constant sign condition on Cqθ. If Cqθ < 0, then Proposition 2.3 is unchanged except that now the inefficient type’s output is distorted upwards q¯SB > q¯* > q∗. Indeed, in such a model, the first-best production level of the inefficient type is higher than that level for the efficient type. Moreover, the information rent of the efficient type is still Φ(q¯) =
, but now an increase of q¯ is required to decrease this rent because Cqθ < 0.
2. Nonresponsiveness
Coming back to our linear specification of the agent’s cost function, let us assume that the principal’s return from contracting depends also directly on l and is written as S(q,θ). This is an instance of a common value model where the agent’s type directly affects the principal’s utility function. On top of the usual assumptions of a positive and decreasing marginal value of trade, we also assume that Sqθ > 1. This latter assumption simply means that the marginal gross value of trade for the principal increases quickly with the agent’s type. For instance, the efficient agent produces a lower quality good than the inefficient one, and the principal prefers a high quality good.
The first-best productions are now defined by Sq(q∗, θ) = θ and Sq(q¯*, θ¯) = θ¯. With our assumption on Sqθ, the first-best production schedule is such that q∗ < q¯*, i.e., it does not satisfy the monotonicity condition in (2.15) implied by incentive compatibility.
In this case, there exists a strong conflict between the principal’s desire to have the θ¯-type produce more than the θ-agent for pure efficiency reasons and the monotonicity condition imposed by asymmetric information. This is what Guesnerie and Laffont (1984) call a phenomenon of nonresponsiveness in their general analysis of the principal-agent’s model with a continuum of types. This phenomenon makes screening of types quite difficult. Indeed, the second-best opti- mum induces screening only when qSB = q∗ and q¯SB defined by
![]()
satisfy the monotonicity condition qSB ≥ q¯SB. However, when r is small enough, q¯SB defined in (2.52) is close to the first-best outcome q¯*. Thus, we have q¯SB > qSB, and the monotonicity condition (2.15) is violated. Nonresponsiveness forces the principal to use a pooling allocation. Figure 2.7 illustrates this nonresponsiveness. As in figure 2.4, the pair of first-best contracts (A∗, B∗) is not incentive com- patible. But, contrary to the case of section 2.6.2, the contract C, which makes the θ-type indifferent to whether he tells the truth or takes contract B∗, is not incentive compatible for the θ¯-type who also strictly prefers C to B∗.
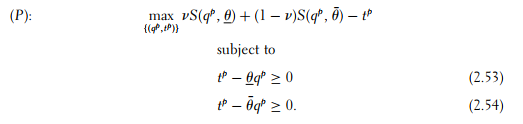
One possibility to restore incentive compatibility would be to distort q¯ down to q∗, which would decrease the θ-type’s information rent to yield contract D while still preserving incentive compatibility for both types. By this action we would obtain a pooling allocation at D. However, the principal can do better by choosing another pooling allocation, which is obtained by moving along the zero isoutility line of a θ¯-type. Indeed, the best pooling allocation solves problem (P) below:

The harder participation constraint is obviously that of the least efficient type, namely (2.54). Hence, the optimal solution is characterized by
![]()
and
![]()
with qp < q¯* because Sqθ > 0.
This pooling contract is represented by point E in figure 2.7 (which can be to the left or to the right of D) where the indifference curve (the heavy line through E) of the principal corresponds to the “average” utility function
![]()
In summary, when nonresponsiveness occurs, the sharp conflict between the principal’s preferences and the incentive constraints (which reflect the agent’s pref- erences) makes it impossible to use any information transmitted by the agent about his type.

Figure 2.7: Nonresponsiveness
3. More than Two Goods
Let us now assume that the agent is producing a whole vector of goods q = (q1,…, qn) for the principal. The agent’s cost function becomes C(q, θ) with C(·) being strictly convex in q. The value for the principal of consuming this whole bundle is now S(q) with S(·) being strictly concave in q.
In this multi-output incentive problem, the principal is interested in a whole set of activities carried out simultaneously by the agent. It is straightforward to check that the efficient agent’s information rent is now written as U = Φ(q) with ![]()
This leads to second-best optimal outputs. The efficient type produces the first-best vector of outputs qSB = q∗ with
![]()
The inefficient type’s vector of outputs q¯SB is instead characterized by the first-order conditions
![]()
which generalizes the distortion of models with a single good.
Without further specifying the value and cost functions, it is hard to compare the second-best outputs a priori with the first-best outputs defined by the following n first-order conditions:
![]()
Indeed, it may well be the case that the n first-order conditions (2.58) define a vector of outputs with some components
for a subset of indices i.
Turning now to incentive compatibility, summing the incentive constraints
for any incentive feasible contract yields

Obviously, this condition is satisfied if the Spence-Mirrlees property Cqiθ > 0 holds for each output i and if the monotonicity conditions q¯i < qi for all i are satisfied. Inequality (2.60) is indeed satisfied for the second-best solution (2.58), because then
for all i. However, the reverse is not true. It might well be the case that
for some output i and the condition (2.60), which is a condition on the whole vector of outputs, nevertheless still holds for the second-best vector of outputs q∗ and q¯SB.
So, in general, the implementability condition (2.60) in a multi-output envi- ronment is more complex than the simple monotonicity condition found in a single-good setting.
Source: Laffont Jean-Jacques, Martimort David (2002), The Theory of Incentives: The Principal-Agent Model, Princeton University Press.
