Another important limitation of our analysis of adverse selection in chapter 2 is that the adverse selection parameter h was modeled as a unidimensional parameter. In many instances, the agent simultaneously knows several pieces of information that are payoff relevant and affect the optimal trade. For instance, a tax authority would like to know both the elasticity of an agent’s labor supply and his productivity before fixing his tax liability. Similarly, an insurance company would like to know both the probability of accident for an insurer and his degree of risk aversion before fixing the risk premium that the agent should pay. The producer of a good knows not only the marginal cost of producing the good but also the associated fixed cost. In all these situations, the unidimensional paradigm must be given up in order to assess the full consequences of asymmetric information on the rent extraction-efficiency trade-off.
1. A Discrete Bare-Bones Model
We now extend the analysis of chapter 2 to the case of bidimensional asymmet- ric information. The simplest way to do so is to have the agent accomplish two activities for the principal. Each of those activities is performed by the agent at a marginal cost which is private information. Let us assume that the agent pro- duces two goods in respective quantities q1 and q2 with a utility function
. We also assume that there is no externality between the two tasks for the principal, so that the surpluses asso- ciated with both tasks add up in the latter’s objective function, which becomes V = S(q1) + S(q2) − t.
The probability distribution of the adverse selection vector h = (θ1, θ2) is now defined by ![]()
with a positive correlation among types arising when
. As usual, this distribution is common knowledge.
The components of the direct revelation mechanism are respectively denoted by
, and
, where we impose (without a loss of generality) a symmetry restriction on transfers. Similar notations are used for the information rents Uij . Because of the symmetry of the model, there are only three relevant levels of information rents,
. Similarly, we denote outputs by
, and transfers by
. These notations, even though they look quite cumbersome, unify the present multidimensional modelling with that of section 3.1.1 above.
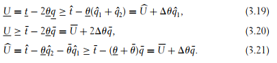
Again, following the logic of the unidimensional model, we may guess that only the upward incentive constraints matter. The three following incentive con- straints then become relevant:

We can also expect the participation constraint of an agent who is inefficient on both dimensions
to be binding, i.e.,
![]()
We leave it to the reader to check that adding incentive constraints for types taken two by two yields the following impementability conditions:
![]()
and
![]()
2. The Optimal Contract
We can expect (3.21) and (3.22) to be binding at the optimum. Then (3.19) and (3.20) can be summarized as
![]()
which should also be binding at the optimum to reduce the efficient agent’s infor- mation rent.
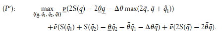
After the substitution of the information rents as functions of outputs, the principal’s optimization program can be reduced to:

We must distinguish two cases depending on the level of correlation p between both dimensions of adverse selection.
Case 1: Weak Correlation
Let us first assume that the solution is such that
. In this case,
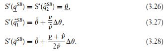
and optimizing (P’) yields the following second-best outputs:

This latter schedule of outputs is the solution when the posited monotonicity condition
holds, i.e., when
![]()

Figure 3.3: Binding Incentive Constraints with Weak Correlation
or, to put it differently, when
. This condition obviously holds in the case where θ1 and θ2 are independently drawn, since the correlation is then zero and p = 0. We leave it to the reader to check that all of the neglected incentive and participation constraints are satisfied when (3.29) holds.
In the case of weak correlation, the binding constraints are only the local ones. In figure 3.3, an arrow from a point in the type space, say A, to another one, say B, means that A is attracted by B, i.e., the corresponding incentive constraint is binding at the optimum.
Case 2: Strong Correlation
If we had perfect correlation, vˆ = 0, the binding incentive constraint would obvi- ously be from
, as shown in figure 3.4. Then we would be back to the usual unidimensional model along the diagonal.
More generally, for a strong positive correlation we may expect an intermedi- ary case with the upward incentive constraints being binding as in figure 3.5.
Indeed, consider the case where the condition (3.29) does not hold. In this case the outputs, defined by (3.27) and (3.28), are such that
, a contradiction with our starting assumption
. Let us assume that instead we have
. In this case,
and optimizing (P’) leads to (3.27) and (3.28) being respectively replaced by
![]()
and
![]()

Figure 3.4: Binding Incentive Constraint with Perfect Correlation
Figure 3.5: Binding Incentive Constraints with Strong Correlation
However, we immediately observe that
for those outputs. Again, this is a contradiction with our starting assumption
. When (3.29) does not hold, we necessarily have
, and bunching arises at the optimal contract.
To understand the origin of this bunching, let us first consider the case where the principal is concerned only with the upward incentive compatibility con- straints (3.19) and (3.21). With a strong correlation of types, the principal finds the information rent left to the (θ, θ)-type to be very costly because this type is relatively likely. Hence, the principal is led to reduce the output qˆ1 significantly. On the other hand, the intermediate type (θ, θ¯) is rather unlikely. Hence, the principal finds it not very useful to reduce the output q¯ to reduce the latter’s infor- mation rent. As a result, the schedule of outputs that would be implemented by the principal, had he taken into account only the downward incentive constraints, would be such that q¯ > qˆ1. The high output q¯ requested from a (θ¯, θ¯)-type makes the (θ, θ)-type willing to mimic the (θ¯, θ¯)-type rather than the intermediate type (θ, θ¯). With a strong correlation it is no longer correct to neglect the global incen- tive constraint (3.2). Both the local incentive constraints (3.19) and the global incentive constraints (3.2) are binding at the optimum, and this situation is only possible when the optimal allocation entails some bunching.
Remark: Just as in the three-type model of section 3.1.2, a probability distribution of types such that intermediate types are rather unlikely creates bunching at the optimal contract.
Optimizing pP rq with the added constraint q¯ = qˆ1 still yields (3.26) but also
![]()
We summarize our findings in proposition 3.2.
Proposition 3.2: In a symmetric bidimensional adverse selection setting, the optimal contract with a weak correlation of types keeps many fea- tures of the unidimensional case with two types; only upward incentive constraints are binding. With a strong correlation, the optimal contract may instead entail some bunching; a global incentive constraint becomes binding.
Finally, note that more complex situations arise when the correlation is nega- tive, asymmetric distributions are postulated, or when the dimensionality of actions is not the same as the dimensionality of the asymmetry of information.
We now describe two examples where modelling adverse selection with mul- tidimensional types has proved to be useful.
Example 1: Unknown Fixed Cost
Let us suppose that the agent has a cost function C(θ, q) = θ1q + θ2 where both the marginal cost θ1 and the fixed cost θ2 are unknown. As shown in Baron and Myerson (1982) and Rochet (1984), stochastic mechanisms, where the decision to produce or not produce is used as a screening device, are useful in this context. To explain why, let us introduce x in [0, 1] as the probability of a positive production. As a function of the contracting variables q and x, the agent’s utility function now writes as U = t − (θ1qx + θ2x). This expression almost takes the same form as what we have analyzed above. It is easy to show that the shutdown of some types is also a valuable screening device to learn the value of the fixed cost θ2.
Example 2: Unknown Cost and Demand
Let us assume that the agent is a retailer who serves a market with a linear inverse demand P(q) = a − θ1 − q, where h1 is an intercept parameter, which is the first piece of private information of the agent. This agent has also a cost function C(q) = θ2q, where the marginal cost θ2 is the second piece of private information of the agent. The latter’s utility function writes finally as U = t˜ + (a − θ1 − q)q −θ2q, where t˜ is the transfer received from the principal, here a manufacturer.
To simplify, we also assume that the manufacturer incurs no production cost for the intermediate good he provides to the agent. Introducing a new variable t = t˜ + aq − q2, the agent’s utility function rewrites as U = t − (θ1 + θ2)q. On the other hand, the principal’s objective becomes V = aq − q2 − t. In this example the bidimensional adverse selection model amounts to a unidimensional model, where θ = θ1 + θ2 is a sufficient statistic for all information known by the agent. If each type θi belongs to
may take three possible values, 2θ, θ¯ + θ, or 2θ¯. The framework of section 3.1 can then be used to derive the optimal contract.
Remark: The dimensionality of the type space plays a crucial role in determining the binding participation constraints. To understand this point remember that, in a unidimensional case, the least efficient type’s participation constraint is the only binding participation constraint (at least as long as shutdown is not optimal) and the same result holds for a continuum of types (see appendix 3.1). Now suppose that it holds also with a continuum of bidimensional types, i.e., only the least effi- cient type on dimensions θ1 and θ2 is put at its reservation utility. Let us imagine that the principal slightly uniformly decreases the whole transfer schedule he offers to the agent by ε. Of course, a whole subset of types around (θ¯, θ¯) prefers to stop producing. The efficiency loss for the principal is roughly of the order ε2. However, by uniformly reduc- ing the whole transfer schedule, the principal reduces all information rents of the remaining types by ε, which means he makes a gain of the order ε(1 − ε2) ≈ ε. Therefore, the shutdown of a subset of types with nonzero measure is always optimal.
Armstrong and Rochet (1999) provided a complete analysis of the two-type model. The case of a continuum of types was first ana- by McAfee and McMillan (1988), who attempted to generalize the Spence-Mirrlees assumption to a multidimensional case, and Laffont, Maskin, and Rochet (1987), who explicitly solved an example in the case where the principal has only one output and one transfer with which to screen a bidi- mensional adverse selection parameter (see also Sibley and Srinagesh 1997). The result, that a shutdown of a nonzero measure of types is always opti- mal for a continuum of types, is due to Armstrong (1996), who also offered some closed-form solutions for the optimal contract when the set of types includes the origin. See also Wilson (1993) on this point. The analysis of Rochet and Choné (1998) is the most general. They showed that bunching of types is always found in these bidimensional models, and they also provided the so-called ironing and sweeping techniques designed to analyze this bunch- ing issue. These techniques are difficult and outside the scope of this book. Rochet and Choné (1998) also show that bunching implies that a whole set of types with nonzero measure exists, such that q1 = q2 at the optimal contract. They interpret this as a bundling requirement imposed by incentive com- patibility. Finally, Armstrong (1999) pushed the idea that multidimensional adverse selection problems may introduce a significant simplification in the optimal contract between a seller (the principal) and a buyer (the agent) who is privately informed of his type. Instead of explicitly computing this contract, Amstrong provides a lower boundary on what can be achieved with simple two-part tariffs and, using the Law of Large Numbers, shows that these con- tracts can approximate the first-best when the number of products sold to this buyer is large enough.
Source: Laffont Jean-Jacques, Martimort David (2002), The Theory of Incentives: The Principal-Agent Model, Princeton University Press.
