The models in sections 3.1 and 3.2 have already illustrated the difficulties that the modeler faces when there is no obvious order between the various incen- tive constraints. The same kind of difficulties arise when the agent’s participa- tion constraint is type-dependent. Indeed, those participation constraints may also perturb the natural ordering of the incentive and participation constraints that was discussed in chapter 2. Determining which participation and incentive con- straints are binding becomes a more difficult task. To analyze those issues, we now come back to our two-type model. In chapter 2, we made a simple and debat- able assumption by postulating that the outside opportunities of the two types of agents were identical (and without loss of generality normalized to zero). Then we proved that the binding incentive constraint is always the efficient type’s con- straint. However, in many cases there is a correlation (in general a positive one) between the agent’s productivity in a given principal-agent relationship and his outside opportunity. We now assume that the efficient agent’s outside utility level is U0 > 0, and we still normalize the inefficient agent’s outside utility level to zero. The efficient- and inefficient-type participation constraints are now written, respectively, as

1. The Optimal Contract with Type-Dependent Status Quo
The principal’s problem is to optimize the expression (2.20), subject to the relevant upward incentive compatibility constraints (IC) (2.21) and (2.22) and the new type-dependent participation constraints (PC) (3.33) and (3.34). The solution to this problem exhibits five different regimes, depending on the value of U0.
Case 1: Irrelevance of the Outside Opportunity Utility Level
This case arises when
. Then the optimal second-best solution (2.27), (2.29), and (2.30), obtained in section 2.6, remains valid since the neglected par- ticipation constraint (3.33) is satisfied by the solution discussed in proposition 2.1. When the outside option does not provide a level of utility to the efficient agent that is high enough, it does not affect the second-best contract.

Figure 3.6: Type-Dependent Participation Constraint: Case 2
Case 2: Both PCs and the Efficient Agent’s IC Are Binding
This case arises when
. The former solution is now no longer valid. To induce the efficient type’s participation, he must receive a higher level of utility than the information rent obtained in the optimal second-best contract corresponding to U0 = 0. Then, one can afford less distortion in the inefficient type’s production level and choose q¯ such that
. As long as U0 belongs to
, the incentive constraint of the efficient type and both participa- tion constraints are simultaneously binding (see, for example, the pair of contracts (A0, B0) in figure 3.6).
Case 3: Both PCs Are Binding
This case arises when Δθq∗ > U0 > Δθq¯∗. Still raising U0, the principal finds that it is no longer optimal to use the inefficient type’s output to raise the efficient agent’s information rent and induce his participation. Because output is already at its first-best level, the remaining tool available to the principal to raise the efficient agent’s rent is the transfer t, and we now have t = θq∗ + U0. This solution is valid as long as the inefficient agent’s incentive constraint is not binding, i.e., as long as 0 = U¯ > U0 − Δθq∗ (see the pair of contracts (A0, B0) in figure 3.7; this case remains valid as long as A0 is between C and D). In that region, both production levels are the efficient ones.

Figure 3.7: Type-Dependent Participation Constraint: Cases 3 and 4
Case 4: Both PCs and the Inefficient Agent’s IC Are Binding
This case arises when
is given by
![]()
with the superscript “CI” meaning countervailing incentives.
When U0 continues to increase (A0 is now above D), the inefficient type is now attracted by the allocation given to the efficient type, but the constraints (3.33) and (3.34) remain binding. As a result, the efficient agent’s output is distorted upwards to reach a value q, defined by U0 = Δθq (corresponding to the point A˜0 above D in Figure 3.7).
Case 5: The Efficient Type’s PC and the Inefficient Type’s IC Are both Binding
This case arises when
. Let us maximize (2.20) under the constraints (3.33) and (2.22). Assuming that those two constraints are binding, we obtain
. When we insert those expressions into the principal’s objective function, we get a reduced-form program given by:

Figure 3.8: Type-Dependent Participation Constraint: Case 5
Optimizing with respect to outputs yields no distortion for the inefficient type who produces efficiently,
, and now yields an upward distortion charac- terized in equation (3.35) for the efficient type, qCI > q∗. As U0 becomes greater than
must now be given up to the inefficient type (see the pair of contracts (ACI, B¯CI) in figure 3.8).
Figure 3.9 summarizes the profiles of production levels as functions of the efficient type’s outside opportunity utility level U0. For U0 higher than Δθq∗, we are in the case of countervailing incentives. In order to attract the efficient type who has such profitable outside opportunities, it is necessary to offer him a very high transfer. However, then this contract becomes attractive for the inefficient type. The production level of the efficient type is distorted upward to satisfy the inefficient type’s incentive constraint. For
, even a positive rent must be given up to the inefficient type to satisfy this constraint at the lowest cost.
Type-dependent utilities with interesting economic implications have appeared successively in Kahn (1985) and Moore (1985) for mod-els of labor contracts with type-dependent reservation wages, in Lewis and Sappington (1989) for an extension of the Baron and Myerson (1982) regula- tion model with fixed costs, in Laffont and Tirole (1990a) for the regulation of bypass, in Feenstra and Lewis (1991) and Brainard and Martimort (1996) for a model of international trade, in Jeon and Laffont (1999) for a model of downsizing the public sector, and in Saha (2001) for a model of corrup- tion. Jullien (2000) provided a general theory of type-dependent reservation utility with a continuum of types. Biglaiser and Mezzetti (1993, 2000) endo- genized the agent’s reservation utility by explicitly modelling competition between several principals. On this, see also Champsaur and Rochet (1989) and Stole (1995).

Figure 3.9: Type-Dependent Participation Constraint: Output Distortions and Binding Constraints
2. Examples State Dependent Fixed Costs
Lewis and Sappington (1989), who coined the expression countervailing incentives, reconsidered the Baron-Myerson model with a firm having a fixed cost negatively correlated with its marginal cost. The firm’s cost function is C(θ, q) = θq + F(θ), where θ belongs to
with respective probabilities v and 1 − v. The fixed costs are such that
, i.e., high marginal costs are associated with low fixed costs and vice versa.
In this model, incentive constraints are still expressed as (2.21) and (2.22).
The participation constraints instead become
![]()
and
![]()
It should be clear that, up to a constant term F (θ¯), the model is identical to the one in section 3.3.1. The difference
plays the role of U0 and may lead to countervailing incentives if it is large enough.
Remark: With more than two types, or with a continuum, countervail- ing incentives may create some pooling for intermediate types. When the agent’s status quo utility level is decreasing with the type θ, those intermediate agents are indeed torn between their desire to pretend to be less efficient to save on their cost and their desire to pretend to be more efficient to justify higher status quo utility levels and receive higher transfers from the principal. In a related context, the optimal contract has been interpreted by Lewis and Sappington (1991) as an inflexible rule coming from the existence of countervailing incentives.
Lewis and Sappington (1989) studied a model with a continuum of types and emphasized the bunching region they obtain in the transition from upward to downward binding incentive constraints. Maggi and Rodriguez-Clare (1995a) showed that bunching is due to the concavity that Lewis and Sappington assume for the F(·) function. If F(·) is convex, countervailing incentives are compatible with fully separating contracts.
Bypass
Laffont and Tirole (1990a) considered consumers of a network technology such as electricity. Consumers are of two possible types, θ and θ¯, having utility function U = θv(q) − t. They can either consume the good produced by the network technology, which offers a menu of contracts,
, or they can use an alternative bypass technology which has a fixed cost σ and a marginal cost d. By choosing this latter option, consumers obtain the utility levels
. The consumers’ participation constraints become

Up to a change in the definition of the efficient and the inefficient type, S¯− S here plays the role that U0 plays in section 3.3.1 and can again give rise to countervailing incentives.
When the network industry is very efficient, a regulated or profit-maximizing network attracts all consumers with a discriminating menu of contracts. As its efficiency deteriorates, it must distort the pricing scheme to maintain the high- valuation consumers in the network, and the good deal made to these consumers may attract low-valuation consumers and create countervailing incentives. Finally, as the network efficiency deteriorates further, the profit-maximizing network lets the high valuation consumers leave the network.
Downsizing the Public Sector
An inefficient public sector exhibits sometimes considerable labor redundancy. Hence, downsizing constitutes a natural step for every public sector reform. How- ever, downsizing is subject to adverse selection. To model this issue, Jeon and Laffont (1999) assumed that a worker of the public firm has a private cost θ in
when working in that firm. Let Up(θ) be the rent obtained by a θ-worker in the public firm and Um(θ) be the rent he would obtain in the private sector with the normalization Um(θ¯) = 0.
A (voluntary) downsizing mechanism for a continuum [0, 1] of workers is a pair of transfers and probabilities of being maintained in the firm,
, which must satisfy the participation constraints

and the incentive constraints

If we define the worker’s full cost θf as the sum of the production cost and his rent in the private sector, θf = θ + Um(θ), these equations can be rewritten as

![]()
We can reduce the problem to the one treated in section 3.3 if we rewrite the participation constraints in the following manner:

Defining
, we could proceed as in section 3.3.
If
, the worker with production cost h remains the low full-cost worker. Furthermore, if Up(θ) − Up(θ¯) = Δθ, i.e., the discrimination in the public firm fits the productivity difference, then U0 = Δθf and we have necessarily countervailing incentives. Indeed, the difference of status quo payoffs is larger than the largest information rent which can be given to the efficient type
. The rent of the high full cost is then
and, to decrease this information rent, p is increased. This means that down- sizing decreases under asymmetric information. This situation is illustrated in figure 3.10.

Figure 3.10: Downsizing the Public Sector
Consider a case where downsizing is large and the complete information downsizing entails excluding all the inefficient workers (contract B) and a propor- tion p∗ of efficient ones (contract A). Under incomplete information this requires giving up a rent BB‘ to the inefficient type and creates countervailing incentives. In order to decrease this rent, p i(A“, B“).
If θ¯f < θf , the high full cost is the worker with low production cost. But we have again countervailing incentives and the rent of the high full cost is
. Now Δθf < 0 and p¯ is decreased. Downsizing increases again under incomplete information, but now the workers with low production costs are excluded first.
International Trade and Protection
Private industries subject to international competition often obtain some protec- tion from their national government to avoid delocalization. The goal of public intervention is first to provide domestic firms with at least their profits when they delocalize and, second, as in domestic regulation, to correct any market power.
To model such issues, let us consider a variation of the Baron-Myerson model discussed in section 2.15.1. The domestic firm’s utility function is U = t − θC(q), with
. The domestic regulator maximizes S(q + qf) − pwqf − θC(q) −(1 − α)U , where qf is foreign production imported at the world price pw . Decreas- ing returns are necessary here so that the national consumption is split in a nontriv- ial way between national and foreign productions. Again, the efficiency parameter θ can take values in
with respective probabilities v and 1 − v.
It is clear that the first-best outcome is such that the domestic firm produces at the world price and the residual domestic demand is imported at this price.
This leads to
.
Under asymmetric information, and if regulation applies to a national public enterprise that has no outside option, the second best policy becomes qSB = q∗, and q¯SB given by
![]()
Consider now a private enterprise that could take all its assets away from the national country and behave competitively in the world market. Participation constraints for type θ and θ¯ become, respectively,
![]()
and
![]()
In this model, we can redefine U0 as
. The information rents corresponding to the first-best outputs q∗ and q¯* are now
. Hence
, and we are (up to a change in the cost function) in case 3 above, leading to no countervailing incentives and with the participation constraints of both types now binding.
Insurance Contracts Under Monopoly
In this example, we analyze an insurance problem where the agent’s reservation utility is type-dependent. Another important feature of this environment is that we have common values, i.e., the agent’s type directly affects the principal’s util- ity. As we will see below, the type-dependent participation constraint makes the implementation of the first-best full insurance policy impossible.
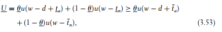
Standard microeconomic analysis shows that, under complete information, all agents subject to some diversifiable risk should receive complete insurance against this risk from a risk neutral insurance company. This conclusion fails under asymmetric information. Let us consider a risk-averse agent with utility function u(·), which is increasing and concave (u‘ > 0, u” < 0 with u(0) = 0). The agent’s initial wealth is w, but with probability θ the agent suffers from a damage that has value d. The agent is a low risk θ < 1 (resp. high risk θ¯, such that θ < θ¯ < 1) with probability 1 − v (resp.v). The agent knows his probability of accident, which remains unknown to the insurance company. The agent’s wealth level is common knowledge. The agent’s expected utility writes thus as U = θu(w − d + ta) + (1 − θ)u(w − tn), where ta is the agent’s reimbursement in case of a damage and tn is what he pays to the insurance company when there is no accident. Many of the technical difficulties encountered with this model come from the nonlinearity of the agent’s utility function with respect to transfers. Nevertheless, note that the Spence-Mirrlees property (3.18) is satisfied, because
is a monotonically decreasing function of θ.
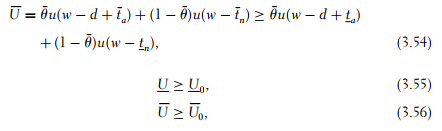
To make things simpler, we assume that the risk-neutral insurance company is a monopoly and maximizes the expectation of its profit V = −θta + (1 − θ)tn. In this model where the quasi-linearity of the agent’s objective function is lost, it is useful for the moment to keep incentive and participation constraints as functions of transfers. This leads to the following expressions:


where U0 (resp. U¯0) is the reservation utility of the low- (resp. high- ) risk agent. These reservation utilities are given by the expected utility that the agent gets in the absence of any insurance, i.e., U0 = θu(w − d) + (1 − θ)u(w) ≡ u(w) and
, where w denote the certainty income- equivalent for types θ and θ¯, respectively. Note that θ¯ > θ implies that U¯0 < U0 and thus that w¯ < w. The low-risk agent thus has a higher reservation utility than the high-risk agent.
Under complete information, the insurance company would provide full insurance against damage for both types. In that case, we would have
. Note that the pair of insurance con- tracts
is not incentive compatible. Indeed, since w¯ < w, the high- risk agent is willing to take the insurance contract of the low-risk agent. By doing so, the θ¯-agent gets u(w) instead of u(w¯) for sure. This situation is represented in figure 3.11. A∗ (resp. B∗) is the complete information contract of the agent with a low (resp. high) probability of accident. A∗ and B∗ both provide full insur- ance. Indifference curves correspond to higher levels of utility when one moves in the northeast direction in figure 3.11, thus the θ¯-agent prefers contract A∗ to contract B∗.
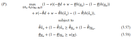
Under asymmetric information, the principal’s program takes now the follow- ing form:

Because the reservation utilities are type-dependent, we are looking for a solu- tion with countervailing incentives where the high-risk type is attracted by the low-risk one. We first assume that (3.53) and (3.56) are the two nonbinding con- straints of the program above. We will check ex post that this conjecture is in fact true. Because of the nonlinearity of the model, this will be a slightly harder task than usual.
It is now useful to rewrite the program using the following change of variables: u(w − d + ta) = ua and u(w − tn) = un. These new variables are the agent’s utility levels whenever an accident occurs or not. Denoting the inverse function of u(·) by h = u−1 and observing that it is an increasing and strictly convex function (h‘ > 0, h“ > 0 with h(0) = 0), one can check that the principal’s objective func- tion is strictly concave, with a set of linear constraints, and the principal’s problem can be rewritten as


Figure 3.11: Full Insurance Contracts
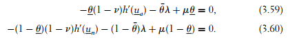
Let us denote the respective multipliers of (3.57) and (3.58) with h and µ. Optimizing the Lagrangian of the principal’s problem with respect to ua and un yields, respectively,

Optimizing with respect to u¯a and u¯n also yields

Using (3.61) and (3.62), it is immediately apparent that the high-risk agent receives full insurance at the optimum:
![]()
From (3.61), we get
, and therefore (3.57) is binding. More- over, summing (3.59) to (3.62), we get
, and thus (3.58) is also binding. Knowing that (3.57) and (3.58) are both binding, we also obtain:
![]()
where
is the difference of utilities of a low-risk agent between not having and having an accident. The fact that (3.58) is binding also implies that one can write
. Inserting the expressions of
into the principal’s objective function and optimizing with respect to Δu, we obtain that the second-best value ΔuSB is defined implicitly as a solution to

The left-hand side of (3.65) is positive, and thus we have
. Because h‘(·) is increasing, we finally get
![]()
To reduce the incentives of the high-risk agent to pretend that he is a low- risk one, the insurance company let this latter agent bear some risk. Imperfect insurance arises as a second-best optimum.
Remark: When mh is small enough, a simple Taylor expansion shows that the right-hand side of (3.65) is close to
, and we get the following approximation:
![]()
The neglected participation constraint of the high risk agent amounts to
, which is now automatically satisfied because, when mh is small enough, u(w) − u(w¯) is positive and of order Δθ, while ΔθΔuSB is of order (Δθ)2.
More generally, the high risk agent’s participation constraint is not binding as long as
is defined implicitly by (3.65). Using the strict concav- ity of the principal’s objective function with respect to Δu, this latter condition rewrites as

and holds, for instance, when d is large enough.
When this latter condition does not hold, the high risk agent’s participation constraint is also binding. We are then in a case where the participation constraints of both types are binding. This is the equivalent of case 3 in section 3.3.1, with the specific features imposed by the nonlinearity of the agent’s utility function. As long as both participation constraints (3.55) and (3.56) are the only binding ones, we have ΔuSB = u(w) − u(w − d).
Figure 3.12 illustrates the optimal second-best solution in the (ua, un) plane when only the low risk agent’s participation constraint is binding.
The contracts A∗ and B∗ are respectively offered to a θ– and a θ¯-agent under complete information. Instead, ASB and BSB are now offered to those agents under asymmetric information. The θ¯-agent is indifferent between ASB and BSB and thus weakly prefers the full insurance contract BSB. The θ-agent strictly prefers ASB to BSB but gets no information rent.
Stiglitz (1997) treated the case of a monopoly providing insurance to risk-averse agents differentiated with respect to their probability of an accident in the same manner as in the model above. Generally, the analysis of the insurance market starts by supposing that this market is competitive. Screening takes place in a competitive environment that is more complex than the monopolistic screening enviornment we analyzed here (Rothschild and Stiglitz 1976). An important feature of the analysis is that a pure strat- egy contract equilibrium may fail to exist in such a context. Two different routes were taken by researchers vis-à-vis this problem. Some argued that one should change the equilibrium concept to ensure the existence of pure strat-egy equilibria (Wilson 1977, Riley 1979, and Hellwig 1987). Others preferred to prove the existence of mixed-strategy equilibria and derived their properties (Dasgupta and Maskin 1986, and Rosenthal and Weiss 1984).

Figure 3.12: The Optimal Insurance Contract Under Asymmetric Information
Source: Laffont Jean-Jacques, Martimort David (2002), The Theory of Incentives: The Principal-Agent Model, Princeton University Press.
