According to our timing of the contractual game, the principal must offer a menu of contracts before knowing which type of agent he is facing. Therefore, he will compute the benefit of any menu of contracts
in expected terms. The principal’s problem writes as

Using the definition of the information rents U = t − θq and
, we can replace transfers in the principal’s objective function as functions of information rents and outputs so that the new optimization variables are now
. This change of variables will sharpen our economic interpretations all along the book. The focus on information rents enables us to assess the distributive impact of asymmetric information. The focus on outputs allows us to analyze its impact on allocative efficiency and the overall gains from trade. Instead of viewing allocations as transfer-output pairs, this change of variable stresses that those allocations can be considered as information rent-output pairs. Thus an allocation corresponds to a volume of trade and a distribution of the gains from trade between the principal and the agent.
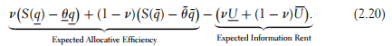
With this change of variables, the principal’s objective function can then be rewritten as

This new expression clearly shows that the principal wishes to maximize the expected social value of trade minus the expected rent of the agent. The principal is ready to accept some distortions away from efficiency in order to decrease the agent’s information rent. We see below precisely how.
The incentive constraints (2.9) and (2.10), written in terms of information rents and outputs, are respectively

The participation constraints (2.11) and (2.12) become respectively

The principal wishes to solve problem jP k below:

We index the solution to this problem with a superscript SB, meaning second-best.
Source: Laffont Jean-Jacques, Martimort David (2002), The Theory of Incentives: The Principal-Agent Model, Princeton University Press.
