Let us now come back to an adverse selection context. Our goal in this section is to understand how one can possibly endogenize the action space used to contract with the agent.
1. Extending the Action Space
We start with a highly stylized model of procurement between a principal (the buyer) and an agent (the seller). We assume that the agent’s marginal cost θ belongs
with respective probabilities v and 1 − v. Let us also suppose that the principal desires only one unit of the good and has a valuation S for this unit. In this setting, the only screening variable available is the set of types with whom the principal wants to contract. If the price of the unit is θ, only the efficient agent produces and the principal gets v(S − θ). If the price is instead θ¯, both types of agent produce and the principal gets instead
. Having both types producing is thus optimal when
, i.e., when
![]()
When (9.75) holds, there is no screening between both types.
Let us now consider the case where the seller can signal his type θ through the choice of a positive quality s. One can think of this quality as some after-sales services offered by the seller to the buyer. To produce a signal with quality s, the seller must incur a cost c(s,
. For the sake of the proof, we will also assume that there exists an upper bound, smax, on s.
Note that the technologically inefficient agent produces a high-quality sig-nal more easily than the efficient one, because
. This Spence-Mirrlees property has the opposite sign of that obtained by taking cross- derivatives with respect to type and production.
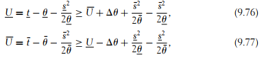
In this context, the signaling stage can be incorporated into the contract. A direct revelation mechanism stipulates a transfer t(θ˜) and a quality s(θ˜) as a function of the agent’s announcement of their type. A truthful direct revelation mechanism is thus a pair
, which satisfies the incentive constraints

and the standard participation constraints

By adding the incentive constraints (9.76) and (9.77), we obtain the imple- mentability condition
![]()
We will focus on the case where (9.76) and (9.79) remain the two binding constraints, despite the fact that csθ < 0. This will be the case as long as Δθ >
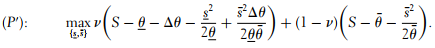
. In this case, the principal’s problem becomes

These two constraints are binding at the optimum, and the principal’s problem is rewritten as
![]()
The objective function is strictly concave in s and maximized at sSB = 0. Things are rather different for s¯. Two cases must be distinguished. For vθ¯ < θ, the objective function is also concave in s¯ and maximized at s¯SB = 0. The signal is not used, and the decision to have both types producing is taken with the criterion (9.75).
For vθ¯ > θ, the objective function is now convex and increasing in s¯. It is thus maximized for
![]()
In this case, the benefit of inducing a positive signal by the inefficient agent to relax the efficient agent’s incentive constraint in (9.76) exceeds the physical cost of the signal.
The condition for having both types producing the good now becomes
![]()
which is easier to satisfy than (9.75), because ![]()
To conclude, the costly signal reduces the informational gap between the principal and his agent; it may be used to induce more production than in its absence, and therefore it increases efficiency.
Spence (1974) was the first to use this idea to elicit agents’ produc- tivities from their education level in his Signaling Theory. Maggi and Rodriguez-Clare (1995b) presented a model that is closely related to the one shown here. In their model, the principal can observe, on top of output, a noisy signal θ + s on the agent’s marginal cost. This signal is provided to improve incentives. However, the agent manipulates this observable by play- ing on the noise s at a cost. Countervailing incentives may arise from the fact that the Spence-Mirrlees property may no longer be satisfied.
2. Costly Action Space
When a principal-agent problem is defined, some variables are assumed to be verifiable, and contracts can be conditioned on those variables. For example, in our canonical models of chapters 2 and 4 it is assumed that the production level is contractible because it is observable and verifiable by a court of law. However, observability and verifiability are generally costly, and one may have the choice of observing and verifying more or less variables. In our basic adverse selection model, we have potentially two observables, the production level q and the ex post cost C = C(q, θ). Suppose that there is a fixed cost of observing either q or C. If both C and q are observed by the principal, he can perfectly infer the value of b and achieve the first-best. This outcome is assumed to be too costly because of these fixed costs. In our canonical model, we have assumed that q is observed but that C is not observed. In this case, an information rent must be given up to the agent, and this calls for a distortion in the inefficient type’s production level.
On the contrary, if C is observed and not q, let q = Q(θ, C) be the solution in q of the equation C = C(θ, q). Then the principal’s problem is written as:

The incentive constraints (9.83) and (9.84) imply
. Both par- ticipation constraints are also binding, and the problem reduces to
![]()
The corresponding first-order conditions of this problem are
![]()
![]()
Taking into account that
, we find that the optimal outputs q∗ and q¯∗ are efficient

The principal can thus implement the first-best outputs without giving up any rent. Indeed, observing costs makes it possible to adjust the transfers in order to leave no rent. However, in this case the agent is indifferent between telling the truth and not telling the truth and, as usual, we break this indifference by assuming that he reveals the truth to the principal.
This is a spectacular example, where the choice of the right observable enables the principal to achieve the first-best outcome. However, note that the costs of observing q or C have a priori no reason to be identical.
The literature has studied the comparison of regulation by the out- put or regulation by the input more generally (see Maskin and Riley 1985, Crampes 1986, Khalil and Lawarrée 1995, and Bontemps and Bour- geon 2000). The levels of information rent are affected by the choice of the contractible variables.
Source: Laffont Jean-Jacques, Martimort David (2002), The Theory of Incentives: The Principal-Agent Model, Princeton University Press.
