In an intertemporal framework, what is needed for the optimal dynamic contract to be credible is not only the ability of the contractual partners to commit to a contract, but the stronger assumption that those two contractual partners also have the ability to commit not to renegotiate their initial agreement. The assumption that economic agents have the ability to commit not to renegotiate is an extreme assumption about the perfection of the judicial system. Clearly, weakening the assumption that the court of law is perfect implies that, as we know in practice, it is very difficult and often impossible to commit not to renegotiate.
Starting with Dewatripont (1986), the literature has explored the implications of this institutional “imperfection” that corresponds to the agents’ inability to com- mit not to renegotiate. Moving away from the framework of full commitment raises numerous issues, such as how should we model the renegotiation game,12 how do agents update their beliefs dynamically, and finally how can we characterize implementable allocations.
Below we sketch the nature of the difficulty due to an imperfect commitment in repeated adverse selection models. Take the two-period model of section 8.1.1 and assume now that the principal cannot commit not to renegotiate the long-term agreement he has signed with the agent. The agent knows that any information he might reveal in the first period of the relationship will be fully used by the principal in the second period if a renegotiation is feasible. We assume that the principal still has all the bargaining power at the renegotiation stage, which takes place before the second period output is realized. Let us thus envision two possible classes of renegotiation-proof contracts13 that give rise to two different classes of implementable allocations.
1. Separating Contracts
Suppose that, in period 1, the agent behaves differently when θ = θ then when θ = θ¯, as is requested by the full commitment optimal contract. The first-period action signals the agent’s type perfectly to the principal. The principal is therefore informed of the agent’s type when period 2 comes. In particular, if the agent is a θ¯-type, the principal would like to raise allocative efficiency in period 2 by increasing the second-period output while still maintaining the second-period rent, which was promised in the optimal long-term contract with full commitment to the θ-type. However, raising allocative efficiency ex post has a drawback on the first-period incentives. Indeed, the efficient agent is no longer indifferent between telling the truth or not in the first period. Instead, he would like to lie in order to benefit from the higher rent promised in period 2. Raising ex post efficiency through the renegotiation procedure hardens first-period incentives. Offering a first-period contract that fully separates both types facilitates information learning in the organization and improves the value of recontracting in period 2. However, this information learning may be quite costly for the principal from a first-period point of view, because he must further compensate the efficient agent for an early revelation of his type. Such a fully separating allocation is robust to the possibility of renegotiation, i.e., is renegotiation-proof, if, conditional upon the information learned after the choice of output made in period 1, the principal cannot propose a Pareto-improving second-period contract to the agent.
Let us denote with a subscript i the contract offered at date t = i. If the first-period contract fully separates both types, the second-period outputs are efficient in both states of nature and are thus (with our usual notations) given by q∗ and q¯*, depending on the agent’s type. The efficient agent’s intertemporal incentive constraint, which must be satisfied to induce information revelation in period 1, is finally written as
![]()
where
is the first- (resp. second-) period benefit of a θ-agent mimicking the θ¯-agent.
The inefficient agent’s intertemporal participation constraint is written as
![]()
With such a separating contract, the principal promises to the efficient (resp. inefficient) agent that he will get a rent Δθq¯*(resp. 0) in period 2. Given this initial commitment, coupled with the fact that the principal is fully informed of the agent’s type at the renegotiation stage, the principal cannot further raise the second-period ex post efficiency, because it is already maximized with outputs q∗ and q¯*. Hence, this type of long-term separating contract is clearly renegotiation- proof.
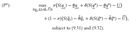
Within the class of contracts that are fully separating and renegotiation-proof, the principal finds the optimal one as a solution to the following problem:

We index the solution to this problem with a superscript RPS, which means renegotiation-proof and separating.
We leave it to the reader to check that (9.31) and (9.32) are the only two binding constraints of the problem above. Optimizing with respect to outputs, we find that the optimal fully separating contract entails no allocative distortion for the efficient type in both periods
. On the contrary, it entails a downward distortion in the first period only for the inefficient type, i.e.,
, where as usual
.
Let us denote by
the principal’s profit when he implements a pair of outputs
in a one-period static relationship at minimal cost. We know from chapter 2 that the following equality holds:
![]()
It is easy to check that the intertemporal profit achieved with the optimal fully separating contract can be written as
![]()
2. Pooling Contracts
Suppose instead that, in period 1, the agent chooses the same behavior, whatever his type θ. In this case, the principal learns nothing from the first-period action. The continuation contract for period 2 should thus be equal to the optimal static contract, conditional on the prior beliefs (v,1 − v) since beliefs are unchanged. This contract is well known from chapter 2. Now we index the optimal contract with a superscript RPP , which means renegotiation-proof and pooling.
First, note that the second-period outputs
. With a first-period single contract (t, q), which induces full pooling between both types in the first period, the intertemporal incentive con- straint of the efficient agent is written as
![]()
where
is the first- (resp. second-) period benefit of a θ-agent from mimicking a θ¯-agent.
The principal’s problem, which consists of finding the best long-term contract that induces full pooling in the first period, is then

Again, those latter two constraints are binding at the optimum, and we find that
. The second-period contract is the optimal static contract com- puted with prior beliefs, therefore it is obviously renegotiation-proof, i.e., optimal in period 2 given the common knowledge information structure at that date.
The principal’s intertemporal profit with a pooling contract now becomes
![]()
By definition of the optimal static contract, we have
![]()
The comparison of VP and VS is now immediate.
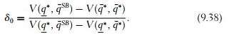
Proposition 9.3: There exists δ0 > 0 such that the principal prefers to offer a separating and renegotiation-proof contract rather than a renegotiation-proof pooling contract if and only if 0 ≤ δ ≤ δ0. We have

This proposition illustrates the basic trade-off faced by the principal under renegotiation. When the future does not count much (u small), the principal can afford full revelation in the first period without having too much (in discounted terms) to offer for the second period. The separating long-term contract domi- nates. When the future matters much more (u large15), the principal would like to commit in a renegotiation-proof way so that he can offer the full commitment static solution in the second period. The principal can do so at almost no cost (again in discounted terms) by offering a pooling contract in the first period, because this first period does not count too much. The pooling long-term contract dominates.
Remark 1: The last proposition also provides some insights about the optimal speed of information revelation in the hierarchy, namely the fraction of efficient types who reveal themselves in the first period. This speed is a decreasing function of the discount factor.
Remark 2: The previous analysis has focused on two simple classes of renegotiation-proof mechanisms: fully separating and fully pooling contracts. More generally, it is optimal for the principal to offer a menu of contracts in period 1, which induces the efficient agent to randomize between the long-term contract intended for the efficient agent and the long-term contract intended for the inefficient one. The θ¯-agent chooses the latter contract with probability one. Therefore, when the principal observes the agent choosing the contract intended for the efficient agent, he knows that it is the efficient agent who made this choice for sure. When he observes the agent choosing the con- tract intended for the inefficient agent, the principal is still unsure of the agent’s type. Both types of agents may have taken this contract. The principal must update his beliefs about the agent’s type from the equilibrium strategies of the agent, and he offers the optimal menu of contracts in period 2 conditional on his new beliefs. For an equilib- rium to hold, mixing is crucial. The efficient agent must be indifferent between the first-period rent he gets if he reveals his type in period 1, and the sum of the rent he gets in period 1 by mimicking the θ¯-type and of the rent he gets in period 2 by choosing its best element within the menu offered. Inducing randomization by the θ-agent is the only way available to “indirectly commit” to leave a rent to the b-agent in period 2. Indeed, leaving a rent in period 2 is ex post optimal for a principal who suffers from asymmetric information about the agent’s type. As the reader may have guessed from the discussion above, a careful analysis of the optimal contract with renegotiation requires a complex notion of equilibrium involving both dynamic considerations and asymmetric information: the perfect Bayesian equilibrium.
Dewatripont (1989) analyzed long-term renegotiation-proof labor contracts in a T -period environment. The focus was on the choice between separating and pooling mechanisms. Dewatripont (1986) and Hart and Tirole (1988) provided proofs of the Renegotiation-Proofness Principle, which allowed the modeller to restrict the principal to offer renegotiation-proof long-term contracts. Hart and Tirole (1988) also studied a T-period environ- ment with the quantities traded restricted to {0, 1}. The main achievement of the paper was to provide an analysis of the process by which informa- tion is gradually revealed over time. Laffont and Tirole (1990b) offered a complete analysis of the two-period model with randomized strategies and unrestricted quantities. Rey and Salanié (1996) discussed the conditions under which the optimal long-term contract over T periods can be repli- cated by a sequence of two-period short-term contracts. Bester and Strausz (2001) extended the revelation principle in this context and showed that there is no loss of generality in looking at first-period mechanisms stipu- lating as many transfers and outputs as the cardinality of the type space even if the agent’s first-period strategies are not fully revealing. Crémer (1995) and Dewatripont and Maskin (1995) all analyzed the role of the information structure as a commitment to harden the renegotiation-proofness constraint.
Source: Laffont Jean-Jacques, Martimort David (2002), The Theory of Incentives: The Principal-Agent Model, Princeton University Press.
