Altering Organizational Interdependence: Patterns of Vertical Mergers

The merger data used for this analysis were drawn from the Federal Trade Commission’s (FTC) Report on Large Mergers in Manufacturing and Mining, 1948-1969 (1970) and were first analyzed by Pfeifer (1972). Mergers of manufacturing companies with other manufacturing firms and mergers of petroleum refiners with producers of gas and oil were examined, a total of 854 mergers, representing acquisition of $44.9 billion in assets over the twenty-year period.

To examine whether mergers represent a response to environmental interdependence, the question was asked whether organizations acquired firms in industries with which they transacted. If organizations merge to control interdependence, then they should acquire organizations in areas with which they exchange resources. Moreover, they should make such acquisitions more often when the exchanges are problematic. While there are many resources of concern to organizations, such as information and legitimacy, we restricted the analysis to only those resources that are exchanged for money through the buying and selling of goods. White (1974) and Levine and White (1961) have suggested that resource exchange is a useful perspective for analyzing interorganizational behavior. To estimate resource exchanges between organizations, we used measures of transactions derived from Leontiefs (1966) input-output tables of the United States’ economy. These tables estimate the dollar amount of goods which each industry purchases from every other industry. They can thus be used to describe the resource dependencies faced by firms in a given industry. Because the input-output information is obtainable only at an aggregated level, we must conduct our analysis of patterns of merger activity on that level. This requires the assumption that the organizations within the industries face relatively similar exchange patterns and that mergers by particular organizations within those industries will, therefore, reflect these same exchange patterns.

The firms involved in the 854 mergers from 1948 to 1969 were grouped by the two-digit level of the Standard Industrial Code ( SIC ),. This aggregates our measures of merger activity to the same level as measures of resource exchanges among economic sectors. Bain (1968) has noted that when industrial behavior is analyzed at the two-digit SIC level, the results have been biased to underestimate individual relations between variables. The results presented are likely to be con- servative estimates of the effect of resource interdependence on merger activity because of the requirements for aggregation and because we are forced to assume that the exchange patterns of the merging firms are reflected in the average of all firms.

From the FTC data, we computed the proportion of one industry’s acquisitions, industry i, made in another industry, j. The proportion of acquisitions was computed both for the number of mergers and for the total assets acquired. From Leontiefs input-output tables, we developed for each industry (i) measures of (1) the proportion of its output sold to each other industry (7), (2) the proportion of its input purchased from each other industry, and (3) the proportion of total transactions (both output and input) with each other industry. From this information it is possible to assess the extent to which the distribution of mergers made by an industry corresponds to the distribution of its resource transactions with other industries. That is, if textile firms? sell most of their output to firms in the apparel industry, do textile firms also tend to a greater extent to acquire firms in the apparel industry?

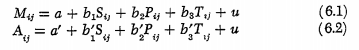
Let:

Mij= the percentage of mergers which industry i made with industry j.

Aij= the percentage of total assets acquired by firms in industry i that come from industry j.

Sij = the percentage of industry i’s sales made to industry j.

Pij = the percentage of industry i’s purchases made from industry j.

Tij = the percentage of industry i’s total transactions that are with industry j.

If firms are merging to absorb interdependence, then we have hypothesized that merger of firms in an industry, i, with industry j are a function of industry i’s transactions with industry j, or:

where u is a random disturbance term or error. We are not a priori certain which measure of resource dependence is most responsible for merger behavior in the whole sample. Below, however, we develop some hypotheses seeking to account for the relative importance of sales or purchase interdependence for explaining merger activity by industry.

1. Alternative Explanations for Mergers

We shall also consider three alternative reasons for merger. The first is that mergers occur on arandom basis. Because there are differing numbers of large firms in different industries, the observed patterns of merger behavior would not be equal a cross industries even if mergers were occurring randomly. In other words, the supply of potential merger candidates large enough to be reported in the FTC series differs across industries. Data on the number of firms with assets over $10 million were collected from the Internal Revenue Service Statistics of Income, and used as a control variable in the analysis. The variable N, represents the number of large firms in industry j. If mergers only followed available supply, one would expect a positive correlation between patterns of merger activity and Nj.

Ajecond alternative is that-fehe-profitable industries are likely jxi attract firm_sJbnt.erested in ac^yusitions. If mergers~are_being madeto enhance firm profitability, it is likely that the acquisitions would be made in industries with higher rates of return. Indeed, rates of return are supposed to attract entry according to economic theory, thereby increasing competition and reducing returns to an equilibrium level. Industry profitability, measured by the rate of return earned on equity, was included as an additional control and denoted by Ej.

Finally, the concentration of firms within target industries was employed as another control variable. It was fhougKlTthat concentra- tion might be a surrogate for difficulty of entry into an industry. A concentrated industry with a few large firms may be more difficult to enter than one with many small firms, so that firms desiring entry might be compelled to merge if they are to succeed. The concentration ratios used were those developed by Weiss (1963), which correct for geographic and aggregation effects. The concentration ratio is denoted by Cj, and concerns the proportion of industry i’s sales made by the top four firms.

2. Results

The results of the analysis of merger as a correlate of organizational interdependence are quite striking. For all manufacturing industries, the following Pearson correlations were obtained:      

All three correlations of merger activity with transactions are statisti-cally significant (p <.001 ). A stepwise regression analysis indicated that the percentage of sales (Sij) made to other industries accounted for 41.8 percent of the variation in acquisitions across industries; the percentage of purchases (Pij) accounted for another 5.9 percent of the variation; and total transactions (Tij) added another 1.5 percent to the explained variance. Together the three measures of resource interde-pendence accounted for 49.2 percent of the variation in merger activity across industries. A similar analysis indicated that 39.4 percent of the variation in patterns of merger activity measured by assets acquired could be explained by resource exchange patterns.

Although the transactions measures do account for the variation in patterns of merger activity, the other industry characteristics do not explain much. Both profitability and industry concentration were un- correlated with merger behavior. While the correlations with the number of large firms are statistically significant, this variable was substantially less predictive than the resource dependence measures.

3. Specific Industry Results

The general analysis of patterns of merger activity is consistent with the argument that organizations attempt to manage their dependence by absorbing this interdependence through acquisition. In this section we consider the patterns and correlates of merger activity on an industry by industry basis. Industries differ in their concentration and in other characteristics. We suspected that the pattern of merger activity exhibited would differ depending on the context of the specific industry. Examination of the correlates of merger activity on a specific industry basis will enable us to test more refined hypotheses derived from the perspective of acquisition activity as a form of interdependence management.

Eighteen manufacturing industries had enough total mergers to analyze separately. For these industries, the distribution of mergers made by firms in that industry with firms in every industry were correlated with the distribution of transactions across the same industries and also with the other characteristics of the other industries in which firms were acquired. These results are presented in Tables 6.1 and 6.2. Table 6.1 presents the results for the analysis of the percentage of mergers by number, while Table 6.2 presents the analysis for the percentage of assets acquired in the various industries. In virtually all, industries, the pattern of merger activity is significantly related to at least one measure of resource interdependence. More mergers are made in industries with which the acquiring firm does business than in industries with which it does not do business. The other variables considered do not explain the variation in merger behavior nearly as well.The arithmetic average of the correlations over the 18 industries between      Mij and Aij and the various explanatory factors are listed below:

The fact that mergers are associated with transactions does not in itself conclusively demonstrate that those mergers were made to control sources of organizational dependence. Quite possibly, firms acquire other firms that are familiar to them; these would most likely be firms with which they do business. There are, however, some hypotheses which can be used to distinguish between the familiarity argument and the thesis that mergers are made to cope with problematic interdependence. These hypotheses deal with the extent to which mergers follow patterns of sales or purchase interdependence.

To the extent that the organization operates in a relatively concentrated environment, we argue that its interdependence with suppliers of input will be relatively more important and problematic than its interdependence with customers. Consequently, we predict that there will be a higher correlation between merger activities arid purchase interdependence the higher the concentration of the organiza- tion’s economic environmen.The concept of concentration means that the organization has relatively few competitors for sales. In turn, concentration presumably gives it market power (Caves, 1970), but this market power is with respect to those organizations to which it sells. “Its power with respect to customers comes from the fact that these customers have few alternative sources of supply. Since the organiza- Jion in a more concentrated’ industry has power with respect to customers, it would be expected that it would focus its attention in managing dependence on those organizations from which it buys input.

This hypothesis is consistent with the data. If we split the 18 ‘industries by industrial concentration, as measured by Weiss (1963), the following results are obtained. Considering the correlations for the percentage of mergers by number, the average correlation between proportion of mergers made and proportion of purchase transactions for the more highly concentrated industries is .762, while this same correlation is .652 for the less concentrated industries. In other words, for the more highly concentrated industries, the purchase transactions interdependence variable accounts for 58 percent of the variation in observed merger behavior, while this variable accounts for only 42 percent of the variation in the case of the less concentrated industries. A similar result holds when we examine merger activity using the proportion of total assets acquired in each industry. For this dependent variable, purchase interdependence accounts for 49 percent of the variation for the more concentrated industries and 35 percent for the less concentrated. Consistent with our argument, the data indicate that firms operating in more highly concentrated industries use mergers .more to cope with exchange dependence with respect to organizations providing input.

A second testable derivative of our hypothesis that mergers are made to control sources of problematic interdependence is that merg-ers should be made to enhance market power when it is lacking but necessary to alleviate unpredictable sales. When concentration is in-termediate, sales interdependence.should better account for patterns of merger activity and sales interdependence should be more important than purchase interdependence in accounting for merger activity.

At very high levels of industry concentration, as just noted, the firms – have market power with respect to customers. Consequently, dependence with customer organizations is not problematic, and there should be less strategic attention focused on managing sales interdependence. At very low levels of industrial concentration where there are a large number of competitor organizations, the firm becomes a passive taker of price and other competitive factors and sales interdependence can not be managed through interfirm linkages. As Stern and Morgenroth (1968) have suggested, we argue that sales uncertainty is greatest when concentration is intermediate in value, and conse- If quently, it is under those conditions that we would expect merger to 3 be most accounted for by sales interdependence.

This prediction is also consistent with the data. We again split the  sample, this time identifying nine industries in which concentration was closest to the average value of 41 percent and nine industries that  had either very high or very low levels of industrial concentration. In Table 6.3, we present the data both for proportion of mergers and for proportion of assets acquired, indicating the correlations between sales interdependence, purchase interdependence, and the pattern of merger activity for industries both intermediate and extreme in indus-trial concentration. As can be seen in that table, sales interdependence is more highly correlated  with merger activity for industries inter-mediate in concentration, and the difference between sales and pur-chase interdependence is also greater for industries intermediate in concentration. These results hold whether number of mergers or assets acquired are considered.

The argument that firms merge according to patterns of familiarity would not explain the differential effects of salses and purchase dependence. Rather, the grouped and individual industry’ analyses of merger activity suggest that merger activity is undertaken to manage interorganizatinnal dependencies, with more activity being undertaken to manage the more critical aspects of the dependence. In short, firms, merge into those industries which create the biggest problems for them. This basic theme will be pursued in subsequent chapters as we analyze additional forms of interfirm linkage activity.

Source: Pfeffer Jeffrey, Salancik Gerald (2003), The External Control of Organizations: A Resource Dependence Perspective, Stanford Business Books; 1st edition

Visited 9 times, 1 visit(s) today

Leave a Reply

Your email address will not be published. Required fields are marked *