The concept of a natural system assumes that systems exist in nature independently of man’s creating them. Murray Bowen’s Family Systems Theory was derived from the study of one type of natural system, the human family. It is a particular kind of natural system and viewed as an emotional system (Kerr/Bowen 1988). As such, it is a network of interlocking relationships, valid also among biological, psychological, and sociological processes.
The use of Bowen theory in family evaluation indicates that it may also be considered as a systems methodology. Bowen uses systems thinking as an alternative to linear approaches to the treatment of family problems. Contrary to Freud’s theory of psychoanalysis which concerns the individual, Bowen’s theory is a theory about the family group and its internal relationships. The function of the individual is often incomprehensible without the context of relation with a group.
Function and behaviour of all organisms are influenced by a basic emotional system, anchored in the life process itself. It has been in place since the origin of life. Relationships between members of a species are directed on common principles or universals. As part of nature, modern man, therefore, is far more like other life forms than different from them. This view can provide a basis for establishing a behavioural link between humans and other animals.
Man’s family is a coherent unit because it operates in ways consistent with its being a system and that the system’s principles of operation are rooted in nature. The same fundamental processes of relationships could be consistently defined in every family. They are at the one and same time, both simple and very complex. Following the rules of the emotional system, man responds sometimes with a basis in self-interest and sometimes on the interests of the group. The ability to remember the past and plan for the future allows man to engage in acts of reciprocal altruism. Such acts can be traded at different times and spaced over long periods, even generations. Here co-dependence, the other-centeredness that results in excessive abandonment of self, is a key concept. This in turn is dependent on the degree of differentiation of self and the capacity for autonomic functioning which frees the person from reactivity and permits choice. Emotional disturbance arises from, and is maintained by, relationships with others.
A basic statement in the theory is that thinking, feeling, and emotion include processes operating throughout the whole organism, not just in the central nervous system with its brain. What occurs in the brain, often reflects concrete processes in the body. An interrelationship exists between the balance of closeness and distance related to the anatomic shape and internal physiology of each individual.
Emotionally determined function of a family member always create an atmosphere or field which in turn influences the emotional function of the whole family. The persons have different functioning positions in the family with reciprocal relationships. The operation of the emotional system reflects the interplay between the two counterbalancing forces of individuality and togetherness. Bowen uses the metaphor of a planetary system with its gravitational field balancing motions of the individual planets around each other and the sun.
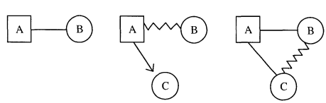
A main part of Bowen’s theory is the concept of triangling which says that the relationship in families and other groups consists of a system of interlocking triangles. It is never possible to adequately explain an emotional process if links to other relationships are ignored. The triangle is the basic emotional unit and the smallest stable emotional system. Its main function is to neutralize tension or anxiety within the system by creating a third focal point. Triangles seems to be universally present in the human species. Nobody is immune from being triangled and nobody is immune from triangling others. When an emotional triangle has been established, it usually outlives the people who participate in it. If one of the members die, another person usually replace him. In Figure 3.28, a diagram of triangling is presented. This particular diagram is often called genogram.
The left diagram indicates a calm relationship. Neither person is uncomfortable enough to triangle a third person. The centre diagram shows growing relational conflict and the more uncomfortable person A triangling a third person C. In the right diagram, the conflict has changed from the original twosome and into a relationship between B and C. The tension is decreased between A and B.

Figure 3.28 The emergence of an emotional triangle (from Kerr/Bowen 1988).
The nature of triangles can be summarized like this:
- A stable twosome can be destabilized by the addition of a third person.
- A stable twosome can be destabilized by the removal of a third person.
- An unstable twosome can be stabilized by the addition of a third person.
- Un unstable twosome can be stabilized by the removal of a third person.
Triangling processes vary among families and in the same family over time. Triangling is minimal if people can maintain their emotional autonomy.
The process in which anxiety cannot be contained within one triangle and overflows into one or more other triangles is creating a situation of interlocking triangles. This may significantly reduce anxiety in the central triangle of a family. See Figure 3.29.
Figure 3.29 The emergence of interlocking triangles (from Kerr/Bowen 1988).
The figure depicts a family with a father, mother, an older daughter, and a younger son. In diagram A all the triangles are fairly inactive. In B, tension develops between mother and son. In C, the father becomes triangled into the tension between mother and son. With D, the tension has shifted to a father and son relationship. In E, mother has withdrawn and the original triangle had been inactive. Meanwhile, the daughter is triangled into the father-son tension. In F, a conflict erupts between the two siblings. This shows how tension originally presented in one triangle is acted out in another. There are thus families in which one person act as the anxiety generator, a second as the anxiety amplifier and a third as the anxiety dampener.
In order to use the family systems theory in a therapeutic process, family diagrams like them presented in the two figures, are employed. They are based on data collected in family evaluation interviews. Ideally, the diagrams should reflect the ebbs and flows of the emotional processes in the multi-generational nuclear family. Although useful shorthands, all diagrams of this kind must be considered highly simplified ways of diagramming the various patterns of emotional functioning.
A concluding presentation of Bowen’s ideas gives the emphasis on the following eight “interlocking” concepts which taken together, represent his theory.
- scale of personal differentiation
- triangling and interlocking triangles
- nuclear family emotional processes
- multi-generational transmission processes
- sibling position
- emotional cutoff
- societal emotional processes
As a species, humans are uniqe as they appear to have more capacity for emotional control than any other beings. This capacity exists due to the evolutionary development of a massive cerebral cortex. To think, to reason, to abstract and to reflect are functions of this advanced brain. It has endowed human beings with the potential for emotional autonomy while closely involved with others. When man gets sick, showing physical, emotional and social dysfunctions, the origin of the malady often transcends the emotional boundary of the specific individual. It is an outcome of a process operating within the multi-generational nuclear family. The family is the basic emotional unit, operating in the background of all human beings.
Source: Skyttner Lars (2006), General Systems Theory: Problems, Perspectives, Practice, Wspc, 2nd Edition.
