Skip to content
    • info@hktsoft.net
  • Connecting and sharing with us
  • -
  • About us
    • info@hktsoft.net
HKT ConsultantHKT Consultant
  • Management Theories
    • Industrial Organization
      • Competitive Advantage Theory
      • Contingency Theory
      • Institutional Theory
      • Evolutionary Theory of the Firm
      • Theory of Organizational Ecology
      • Behavioral Theory of the Firm
      • Resource Dependence Theory
      • Invisible Hand Theory
    • Managerial Approaches
      • Agency Theory
      • Decision Theory
      • Theory of Organizational Structure
      • Theory of Organizational Power
      • Property Rights Theory
      • The Visible Hand
    • Hypercompetitive Approaches
      • Resource-Based Theory
      • Organizational Learning Theory
      • Transaction Cost Economics
      • Hypercompetition
      • Systems Theory
  • Economic Theories
  • Social Theories
  • Political Theories
  • Philosophies
  • Theology
  • Art Movements
Transaction Cost Economics: A Simple Contracting Schema

Assume that a good or service can be supplied by either of two alternative technologies. One is a general purpose technology, the other a special purpose technology. The special purpose technology requires greater investment in transaction-specific durable assets and is more efficient for servicing steady- state demands. Using k as a measure of transaction-specific

28
Apr
Economic Organization of the Company Tow

The company town is mainly regarded as a painful reminder of labor abuses associated with an earlier era. Surely there is nothing favorable, much less redeeming, that can be said about such a condition. Still, company towns were the exception rather than the rule The question, moreover, needs to be asked, why would anyone

28
Apr
Transaction Cost Economics: Applications

The applications of transaction cost economics sketched here are developed more extensively in later chapters. The object is merely to motivate the proposition that transaction cost economics makes useful contact with many of the issues of central interest to applied microeconomics. 1. Vertical Market Restrictions  Whereas it was once common to approach customer and

28
Apr
Transaction Cost Economics: Concluding Remarks

Transaction cost economics relies on and develops the following propositions:  The transaction is the basic unit of analysis. Any problem that can be posed directly or indirectly as a contracting problem is usefully investigated in transaction cost economizing terms. Transaction cost economies are realized by assigning transactions (which differ in their attributes) to governance

28
Apr
Contractual Man: Behavioral Assumptions

Many economists treat behavioral assumptions’ as a matter of convenience. This reflects a widely held opinion that the realism of the assumptions is unimportant and that the fruitfulness of a theory turns on its implications (Friedman, 1953).2 As noted earlier, however, Bridgeman urges that an understanding of the actions of men requires more self-conscious

28
Apr
Contractual Man: Dimensions

Transaction cost economics maintains that there are rational economic reasons for organizing some transactions one way and other transactions another. But which go where and for what reason? A predictive theory of economic organi- zation requires that the factors responsible for differences among transactions be identified and explicated. The principal dimensions with respect to

28
Apr
Contractual Man: The Fundamental Transformation

Economists of all persuasions recognize that the terms upon which an initial bargain will be struck depend on whether noncollusive bids can be elicited from more than one qualified supplier. Monopolistic terms will obtain if there is only a single highly qualified supplier, while competitive terms will result if there are many. Transaction cost

28
Apr
Opportunism: A Digression

The behavioral assumption that human agents are given to opportunism elicits a variety of reactions, ranging from abhorrence through easy acceptance to an insistence that this is yet another case where there is nothing new under the sun. There are even those who regard opportunism as irrelevant. Those who abhor the use of opportunism

28
Apr
The Governance of Contractual Relations: Contracting Traditions

There is widespread agreement that the discrete transaction paradigm— “sharp in by clear agreement; sharp out by clear performance (Macneil, 1974, p. 738)—has served both law and economics well. But there is also increasing awareness that many contractual relations are not of this well- defined kind. A deeper understanding of the nature of contract

28
Apr
The Governance of Contractual Relations: Efficient Governance

As discussed above, the principal dimensions for describing transactions are asset specificity, uncertainty, and frequency. It will facilitate the argument in this section to assume that uncertainty is present in sufficient degree to pose an adaptive, sequential decision requirement and to focus on asset specificity and frequency. Three frequency classes—one-time, occasional, and recurrent—and three

28
Apr
The Governance of Contractual Relations: Uncertainty

The proposed match of governance structures with transactions considers only two of the three dimensions for describing transactions: asset specificity and frequency. The third dimension, uncertainty, is assumed to be present in sufficient degree to pose an adaptive, sequential decision problem. The occasion to make successive adaptations arises because of the impossibility (or costliness)

28
Apr
The Governance of Contractual Relations: Measurement

The cognitive map of contract set out in Figure 1 -1 (Chapter 1) distinguishes between two branches of transaction cost economics: the governance branch and the measurement branch. The former is concerned mainly with organizing transactions in such a way as to facilitate efficient adaptations. The latter is concerned with the ways by which

28
Apr
The Governance of Contractual Relations: The Distribution of Transactions

The study of contractual relations plainly involves more than an examination of discrete markets on the one hand and hierarchical organization on the other. As Llewellyn observed in 1931, the exchange spectrum runs the full gamut from pure market to hierarchy and includes complex “future deals” located between market and hierarchy extremes (1931, p.

28
Apr
Vertical Integration: Technological Determinism

Ours is indisputably a technologically advanced society. That complex orga- nization is needed to serve a complex technology is surely common sense. In particular, comprehensive integration—backward into materials, laterally into components, and forward into distribution—is widely believed to be the organizational means by which complex products and services are created, produced, and efficiently brought

28
Apr
Vertical Integration: A Heuristic Model

As discussed in earlier chapters and sketched in section 1 above, the principal factor to which transaction cost economics appeals to explain vertical integration is asset specificity. Without it, market contracting between successive production stages ordinarily has good economizing properties. Not only can production economies be realized by an outside supplier who aggregates orders,

28
Apr
Vertical Integration: Further Implications

1. Asset Specificity Distinctions  Additional implications of a transaction cost economizing kind can be derived by recognizing that asset specificity takes a variety of forms and that the organizational ramifications vary among these. Four types of asset specificity are usefully distinguished: site specificity—e.g. successive stations that are located in a cheek-by- jowl relation to

28
Apr
Vertical Merger Guidelines

The cognitive map of contract set out in Chapter 1 (Figure 1-2) identifies two main approaches to the study of contract: monopoly and efficiency. Of the two, the monopoly approach was the more fully developed and more widely favored through the early 1970s (Coase, 1972). Vertical integration is one of the areas to which

28
Apr
Vertical Integration: Types of Evidence

There is no single correct unit of analysis for addressing issues of economic organization. Which units are most appropriate depends on the questions being asked. The issues of interest in this book require a semi-microanalytic level of analysis—more microanalytic than received price theory, but less microanalytic than many sociological and social psychological studies of

04
May
Vertical Integration: Mundane Integration

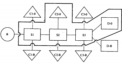
Vertical integration, and the evidence that relates thereto, of two kinds is usefully distinguished. The first, which 1 will refer to as mundane vertical integration, involves integration of successive stages within the core technology. (These are the on-site stages referred to as SI, S2, and S3 in Figure 4-3.) The second, which is more

04
May
Vertical Integration: Forward Integration into Distribution

1. The Observed Transformation  The principal development that induced forward vertical integration into dis- tribution to occur in the second half of the nineteenth century was the appearance of the railroads (Porter and Livesay, 1971, p. 55). To be sure, there were other significant technological developments, including the telegraph (Chandler, 1977, p.189), the development

04
May
  • 1
  • 2
  • 3
  • 4
  • 5
  • 6
  • 7
  • 8
  • …
  • 33
List of Great Thinkers
01
Jan
List of Economic Theories and Concepts
24
Feb
List of Social Theories and Concepts
22
Feb
List of Political Theories and Concepts
21
Feb
List of Philosophical Theories and Concepts
22
Feb
Famous books and articles in library
01
Jan
Corporate Management
  • Management Information SystemManagement Information System
  • Logistics Management: meaning, functions, importance, process and best practicesLogistics Management: meaning, functions, importance, process and best practices
  • Supply Chain and Supply Chain ManagementSupply Chain and Supply Chain Management
  • Retail Management: Definition, Processes, Best PracticesRetail Management: Definition, Processes, Best Practices
  • Quality Management – Understanding how does it improve firm performanceQuality Management – Understanding how does it improve firm performance
  • Sales Management: Meaning, Objectives, Functions, Scope, Process, Determinants, Tools and Other DetailsSales Management: Meaning, Objectives, Functions, Scope, Process, Determinants, Tools and Other Details
Most Read in 30 days
  • Walter-HunzikerWalter Hunziker
  • barney-1991Review: “Firm Resources and Sustained…
  • tải xuống (18)Contractualism
  • Fonds_henri_fayolHenri Fayol
  • tải xuống (3)Naming theories of meaning
  • tải xuống (8)John F. Muth (1930- )
  • imagesMonastic Life – Chapter 29: Monks in the Mahayana
  • 13The path of substitution of firm’s product-service

Methodology & Skills
  • Quantitative research and Statistical software practices (SPSS, Stata, Amos, …)Quantitative research and Statistical software practices (SPSS, Stata, Amos, …)
  • Research MethodologyResearch Methodology
  • Create your professional WordPress website without codeCreate your professional WordPress website without code
  • Learn Programming Languages (JavaScript, Python, Java, PHP, C, C#, C++, HTML, CSS)Learn Programming Languages (JavaScript, Python, Java, PHP, C, C#, C++, HTML, CSS)
  • How to write a thesisHow to write a thesis
  • Qualitative Research (interview, case study, observation, action research …)Qualitative Research (interview, case study, observation, action research …)

Connecting and sharing with us

... by your free and real actions.

hotlineTComment and discuss your ideas

Enthusiastic to comment and discuss the articles, videos on our website by sharing your knowledge and experiences.

hỗ trợ hkt Respect the copyright

Updating and sharing our articles and videos with sources from our channel.

hỗ trợ hkt Subscribe and like our articles and videos

Supporting us mentally and with your free and real actions on our channel.

HKT Channel - Science Theories

About HKT CHANNEL
About HKT CONSULTANT

Website Structure

Economic Theories
Social Theories
Political Theories
Great Thinkers
Library

HKT Consultant JSC.

      "Knowledge - Experience - Success"
- Email: Info@hktsoft.net
- Website:
sciencetheory.net

  • Management Theories
    • Industrial Organization
      • Competitive Advantage Theory
      • Contingency Theory
      • Institutional Theory
      • Evolutionary Theory of the Firm
      • Theory of Organizational Ecology
      • Behavioral Theory of the Firm
      • Resource Dependence Theory
      • Invisible Hand Theory
    • Managerial Approaches
      • Agency Theory
      • Decision Theory
      • Theory of Organizational Structure
      • Theory of Organizational Power
      • Property Rights Theory
      • The Visible Hand
    • Hypercompetitive Approaches
      • Resource-Based Theory
      • Organizational Learning Theory
      • Transaction Cost Economics
      • Hypercompetition
      • Systems Theory
  • Economic Theories
  • Social Theories
  • Political Theories
  • Philosophies
  • Theology
  • Art Movements
  • About Us