Much of this corporate diversification literature takes the existence of core competencies as given and asks, ‘What is the most efficient way to exploit the value of these core competencies?’ Diversification is one of the answers that is provided to this question.
However, a logically prior question is also possible. That question is: ‘Where do core competencies that might be exploited across multiple businesses come from in the first place?’ In answering this question, it is possible to show that over and above any effect that core competencies might have on diversification, diversification might have an impact on the development of core competencies.
Indeed, there is a paradox at the heart of current resource-based theories of superior firm performance. On the one hand, these theo- ries recognize that employee firm-specific investments are among the most important sources of economic rents for firms (Barney 1991a). Employee firm-specific investments—including employee knowledge of how a firm operates, knowledge about a firm’s key suppliers and customers, and knowledge about how to work effectively with other employees— often meet the criteria established in resource-based logic for generating sustained competitive advantages (Dierickx and Cool 1989; Barney 1991a).
The rents generated by these firm-specific investments are often shared between a firm’s employees and its owners (Becker 1964; Hashimoto 1981; Rumelt 1987) and thus can be a source of wealth for both the employees and the owners.1
On the other hand, a great deal of research in organizational economics suggests that employees who make firm-specific investments risk oppor- tunistic actions by the firms in which they invest (Williamson 1985). Once employees make firm-specific investments, firms can systematically extract wealth from these employees and employees have few ways they can pro- tect themselves. Indeed, the hazards associated with making firm-specific investments are so significant that, absent some protection, current the- ories suggest that employees will avoid making firm-specific investments altogether (Alchian and Demsetz 1972).
A great deal of research has documented ways that employees can pro- tect themselves against the threat of opportunistic behaviors if they make firm-specific investments (Williamson 1975, 1985). Additional work has identified ways that firms can credibly reassure employees that they will not behave opportunistically in such settings (Jensen and Meckling 1976; Grossman and Hart 1986; Castanias and Helfat 1991; Rajan and Zingales 1998). With these protections and reassurances in place, current theory seems to suggest that employees will be willing to make firm-specific investments.
However, beyond the threat of opportunism that plagues specific invest- ments made by employees, there is another risk accepted by employees making these investments that has received less attention in the literature.2 This is the risk that the value of the underlying assets controlled by a firm— the assets that an employee makes investments specific to—will fall. If these assets drop in value, then the value of the investments made by employees that are specific to these assets will also fall. This will be the case even if none of the parties in this exchange engage in opportunistic behaviors. Employees may be very reluctant to make firm-specific investments when the future value of a firm’s underlying assets is very risky, even if protec- tions and reassurances are in place that effectively eliminate any threat of opportunism in this exchange.
Here, the implications for both employees and firms of these risky assets are examined. For employees, it is shown that risky core firm assets can reduce employee incentives to make firm-specific investments, even when there is no threat of opportunism in these exchanges. Some actions firms can take to address concerns employees might have about making spe- cific investments in risky firm assets are discussed. These actions include directly compensating employees for risk bearing and engaging in a par- ticular type of corporate diversification—resource-based product market diversification. This latter mechanism is then explored in detail, and the implications of this analysis for the theory of diversification are then dis- cussed. We begin by developing a simple model of employee decisions about whether to invest in firm-specific human capital that depends both on the threat of opportunism in this exchange and the riskiness of the value of a firm’s underlying assets.
1. A MODEL OF EMPLOYEE DECISIONS TO MAKE FIRM-SPECIFIC INVESTMENTS
Two kinds of resources are important in a model of the employee deci- sion to make firm-specific investments: (a) the rare and costly to imitate resources controlled by a firm that an employee is contemplating making specific investments in, and (b) the resources controlled by an employee that will be modified if specific investments are made. Here, the first kind of resource is called a ‘core firm resource’ and the second kind is called a ‘human capital resource’.
Of course, not all the resources controlled by a firm are rare and costly to imitate—that is, not all the resources controlled by a firm are core firm resources as defined here. Indeed, many noncore firm resources, that is, many firm resources that are not rare or costly to imitate, may be necessary if a firm is to gain competitive advantages and earn economic rents. How- ever, these common and imitable resources do not separate firms that have the potential to gain competitive advantages from those that do not have this potential. These firms are separated by the rare and costly to imitate resources they do and do not control.
It is also the case that just possessing rare and costly to imitate resources, by itself, is usually insufficient for a firm to generate economic rents. In addition, employees need to know how to exploit these resources through the strategies a firm pursues. As Porter (1991: 108) argued, ‘resources are not valuable in and of themselves, but they are valuable because they allow firms to perform activities.’
Noncore firm resources are neither rare nor costly to imitate, and thus can be exploited by nonspecific human capital investments made by a firm’s employees. However, core firm resources will generally require highly firm-specific investments in human capital if they are to be exploited in a firm’s strategies. That is, employees must understand the nature of these core resources, develop a working knowledge of how they can be used in conceiving of and implementing strategies, and how they can be protected and nurtured over time if they are to be fully exploited in creating competitive advantages and economic rents. These human capital investments have little value in alternative settings, but can create a great deal of value in a particular firm.
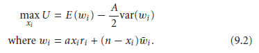
Now, consider an employee, i , of a firm choosing an optimal level of human capital investment specific to a firm’s core resource. The amount (units) of specific investments made by this employee is denoted as xi . It is further assumed that the payoff that the employee is expected to appropriate from the total rent generated per unit of his/her specific investment (in combination of the core resource of the firm) is a fraction, a(0 < a < 1), of the total expected amount of rent generated per unit of his/her specific human capital investment, ri . ri is in turn an increasing function of the value of the firm’s core resource, V . The more valuable the core resource, the more potential rents can be generated from this core resource (∂ri /∂V > 0). Thus, the amount of rents appropriated by the employee is ari .
Also, assume that the employee incurs an opportunity cost while making specific human capital investments. The opportunity cost comes from the fact that instead of making specific human capital investments, the employee can alternatively make general human capital investments, for example, developing skills that improve his/her marketability. Since gen- eral human capital does not suffer the problem of value loss in case of transferring across business settings, the payoff from the employee’s per unit general human capital investment is denoted as w¯ i , which is assumed to be a constant.3
The total units of human capital investments, including both specific and general, is denoted as n (n can also be thought of as the total hours the employee devotes to making these investments). Since xi is the total amount of specific investments, the amount of general investments is then (n − xi ). Thus, the employee’s total payoff, denoted as wi , includes the payoffs from both his/her specific human capital investments (xi ari ) and his/her general human capital investments [(n − xi )w¯i ]:
![]()
The employee then chooses the optimal amount of firm-specific invest- ments, xi , that maximizes his/her utility. The employee’s concern over the risk associated with the payoff from his/her investments can be cap- tured using a risk-averse utility function. The particular form of standard mean variance utility function is thus chosen to capture the idea that employee utilities increase with the expected amount of payoff from his/her investments, E (wi ), but decrease with the risk associated with this payoff, var(wi ) (Sargent 1987). It follows that the employee solves the following utility function, subject to his/her payoff constraint4:

A is the absolute risk-averse parameter that captures the employee’s degree of risk aversion. Without loss of generality, the parameter, A, is normal- ized to 1 (A ≡ 1). The wealth constraint shows that when the employee increases his/her level of specific human capital investment (higher xi ), his/her total wealth will covary more with the expected rents generated per unit of specific human capital investment.
From the first-order condition with the normalized risk-aversion para- meter (A ≡ 1), the optimal amount of specific human capital investment chosen by the employee can be obtained as follows (please see appendix of this chapter for a more detailed derivation):
![]()
This equation has several important implications. First, the numerator of this equation suggests that the optimal amount of specific human capital investments an employee chooses to make (or, an employee’s incentive to specialize), xi*, depends on the amount of rents the employee is expected to appropriate, aE(ri ), relative to the rents from risk-free general human capital investments. This is perfectly consistent with previous research in organizational economics which suggests that employee investments in firm-specific human capital can generate economic rents, but the will- ingness of employees to make these investments depends on how much of the rent they expect to be able to appropriate (Grossman and Hart 1986; Hart and Moore 1990; Castanias and Helfat 1991, 2001; Rajan and Zingales 1998, 2001). Moreover, a small amount of rent appropriation suggests that an employee expects significant opportunistic actions on the part of a firm, while a large amount suggests that an employee does not expect such actions. Efforts by employees to contractually protect them- selves from opportunism, and efforts by firms to reassure employees that they will not behave opportunistically, can both be interpreted as efforts to guarantee that the employees will realize their expected amount of rent appropriation and thereby increase the likelihood that these employ- ees will make specific human capital investments that generate economic rents.
Second, xi* is inversely related to var(ari ), the risk associated with the amount of rent that the employee expects to appropriate per unit of his/her
specific human capital investment. This establishes a basis for the analysis in this chapter: the incentives for an employee to make specific human capital investment are negatively affected by the risk to the per unit payoff from his/her specific human capital investment. As ri , the rents generated from an employee’s specific human capital investment, increases with V , the value of the core resource owned by the firm, so does the payoff to the employee from his/her per unit specific investment, ari . It then follows that the riskiness of this payoff, var(ari ), should also increase with the riskiness of the value of a firm’s core resources. That is, when the value of a firm’s core resource falls, so does the value of employee firm-specific investments and the potential payoff the employee obtains from these investments. Therefore, the riskier is the value of a firm’s core resources, the lower the employee’s incentives to make specific human capital investments.
A lower level of firm-specific human capital investments, in turn, reduces the total amount of rents that can be generated from the underly-ing core resources and the amount of rents that is eventually appropriated by the firm. In this setting, the firm has a motive to adopt mechanisms to mitigate employee concerns over the risk to the value of the core resource to induce employees to make these rent generating investments.
1. MANAGING THE RISK OF FIRM CORE RESOURCES AND EMPLOYEE INCENTIVES TO MAKE FIRM-SPECIFIC INVESTMENTS
Thus, in order for a firm to induce its employees to make firm-specific investments, not only must potential opportunism problems in this exchange be managed, but firms must also discover ways of managing the risks associated with making human capital investments that are specific to a firm’s risky core resources. Two possible solutions to this problem are considered here: (a) compensating employees directly for accepting these risks, and (b) using resource-based related diversification to mitigate these risks.
Compensating employees for risk bearing
The most straightforward solution to the employee incentive problem stemming from the riskiness of a firm’s core resources seems to be for the firm to directly compensate employees it needs to make firm-specific investments for bearing this risk. That is, to get these ‘key employees’ to make firm-specific investments, pay them to do so. Theories and empirical findings in the strategic management literature indeed suggest that diverse stakeholders, including a firm’s employees, suppliers, and customers, often demand compensation for risk bearing (Aaker and Jacobson 1990; Amit and Wernerfelt 1990; Miller 1998; Deephouse and Wiseman 2000; Miller and Chen 2003). The expected amount of payment to the employees should be based on an estimation of the risk to the value of firm core resources to which these employees are making specific human capital investments.
These observations lead to the following proposition:
Proposition 1: The higher is the risk associated with a firm’s core resources, the more likely that the firm’s key employees will have a larger amount of total expected compensation.
On the other hand, compensating employees for risk bearing has some limitations in functioning as an effective employee incentive mechanism.
First, it can be very difficult to write and enforce a compensation contract described above (Titman 1984; Hart 1995). Bounded rationality linked with environmental uncertainty make it difficult, if not impossible, to identify all the future states of nature that would affect the value ofa firm’s core resources. Even if these states could be anticipated, their specific effects on the value of core resources and employee specific investments remain challenging to quantify. Because firm core resources are rare, nontradable and employee specific human capital investments are nontangible, both are difficult to value.
Moreover, the firm may default on the terms of compensation contract in the case of severe negative economic outcome. For example, a firm may approach bankruptcy when it no longer has valuable assets that allow it to continue to operate. In such case, terms of contract cannot be effectively enforced.
Second, although compensating employees for risk bearing can to some extent create incentives for them to make firm-specific human capital investments, it directly increases firm expenditures and thus imposes costs on the firm (Miller and Chen 2003). When the risk associated with firm core resources is very high, it becomes increasingly expensive for the firm to compensate employees for risk bearing despite the motivational benefits of such compensation. As the risk associated with a firm’s core resource increases, for a given amount effort to make firm-specific investments, the employee will demand higher compensation resulting in higher marginal cost per unit effort and no corresponding increase in the expected revenue for the firm. Therefore, it may not pay for the firm to motivate the employ- ees beyond a certain point through compensation, because the utility of an additional unit of effort to make firm-specific investment is worth less to the firm than the cost of motivating the employees for an incremental unit of effort. Thus, the optimal compensation schedule often does not fully compensate the employees for risk bearing (Shavell 1979). This of course will leave the employees to reduce efforts and underinvest in firm-specific human capital.
Due to the limitations associated with compensating employees for risk bearing and the costs of such compensation imposed on the firm, sometimes the firm may be better off finding additional ways to reduce the risk associated with core resources. Resource-based product market diversification is one such alternative.5
Resource-based corporate diversification
Generally, the value of a firm’s core resource is determined in the prod- uct markets where that resource is deployed (Barney 1991a; Peteraf 1993; Bowman and Amrosini 2000). This implies that if the firm’s core resources can be deployed in multiple product markets, the value of the resource in one product market is likely to be different from that in the other product markets. Moreover, a change in the value of a core resource in one product market may not necessarily affect its value in a different product market. This suggests that the risk associated with core resources can be reduced by exploring the applicability of these core resources in other product markets and to diversify accordingly.
Note that diversifying into multiple product markets through deploying a firm’s core resource does not directly reduce the risk to the resource value in each individual product market. However, as long as the factors that lead to changes in one product market are not perfectly correlated with those in another product market, uncertainty in one product market that has a significant effect on the value of the core resource in that particular market is not likely to have a similar effect on that in another market. Therefore, through diversifying into product markets with less than perfectly corre- lated environmental factors, the overall risk associated with the value of the core resource can be reduced. This risk reduction, in turn, can potentially increase the employees’ incentives to make human capital investments that are specific to a firm’s core resources.6 Generally speaking, the positive effect of resource-based product market diversification on employee incen- tives is expected to increase with the level of the risk associated with the firm’s core resources in the firm’s original market(s).
These observations lead to:
Proposition 2: The higher is the risk associated with a firm’s core resources, the more likely that the firm will diversify into other product markets based on these core resources.
To the extent that resource-based product market diversification can sub- stitute for compensating employees for risk bearing as the means of facilitating employee to make firm-specific human capital investments, the ability for a firm to engage in resource-based diversification can reduce the need for the firm to pay employees for risk bearing. Therefore,
Proposition 3: Ceteris paribus, firms that have diversified based on their core resources will subsequently compensate their key employees at a lower level than if they have not diversified in this way.
Note that the arguments above are built on the implicit assumption that management is able to implement a resource-based diversification strategy in such a way that the risks of existing businesses of the firm are not altered. However, to the extent that the existing businesses are disturbed, the effect of resource-based diversification on risk reduction and therefore on employee incentives should be discounted accordingly.
2. IMPLICATIONS FOR THEORIES OF DIVERSIFICATION
Note that the pattern of diversification and the definition of resource relat- edness discussed above are in spirit very close to those based on the concept of the ‘strategic asset’ in the resource-based theory of diversification (e.g. Teece 1982; Markides and Williamson 1994, 1996). To the extent that a core firm resource is rare and costly to trade, the diversification pattern predicted here, that is, diversification by deploying core firm resources, resembles the resource-based theory of corporate diversification, which argues that multibusiness organizations exist to exploit core competencies (Teece 1982; Mahoney and Pandian 1992; Peteraf 1993).7 However, there are some important differences in the pattern of corporate diversification derived from this theory of diversification and traditional resource-based theories of diversification. These differences are manifest in the path and the scope of diversification.
Diversification path
Traditional resource-based logic suggests that diversification is appropriate when a firm’s resources are applicable across the multiple businesses a firm engages in (Montgomery and Wernerfelt 1988; Markides and Williamson 1994; Silverman 1999). The logic developed here suggests that risk reduction, in addition to the ability to apply firm resources across multiple businesses, may motivate diversification. This suggests that a diversifying firm will look to exploit its current resources and capabilities in its diversi- fication moves, but that it will also look for businesses where it can apply those resources that have cash flows that are uncorrelated with its current business activities. This suggests the following:
Proposition 4: Firms that diversify into businesses that exploit their current core resources and that have a pattern of cash flow that is not highly correlated with their current businesses will generate higher levels of employee firm- specific investment than firms that diversify into businesses that only exploit their current core resources but have a pattern of cash flow that is highly correlated with their current businesses.
Diversification scope
Traditional resource-based logic suggests that there are often decreasing returns associated with diversification. This is because, generally, firms will diversify into the highest return related business first, the second highest return related business second, and so forth. Barring an exogenous shock that changes the value of a firm’s core assets, the last diversification moves made by a firm that exploit a particular core resource are likely to be less valuable than the first few diversification moves made by a firm that exploited the resource.
The theory of diversification developed here also suggests that returns from risk reduction (i.e. the willingness of employees to make firm-specific investments that have rent-generating potential) will also have decreasing returns. This is because portfolio risk is generally a concave function of the number of assets in the portfolio (Elton and Gruber 1995), which implies that with the increase in the number of businesses a firm diversifies into, the overall risk to the value of the core resources falls but at a decreasing rate. A decreasing incremental amount of risk reduction is then likely to lead to decreasing returns for the firm.
However, while both core competence-exploitation and risk reduction may be characterized by decreasing returns, these two benefits of diver- sification may not move together over time. Figure 9.1 shows that as a firm diversifies further away from its original businesses, both the marginal advantage obtained from exploiting core competencies and that obtained from providing incentives for employees to specialize are expected to decrease; and the marginal cost of diversification is expected to increase. When considering each effect separately, the optimal scope of the firm is determined by the point where the marginal revenue of diversification equals marginal cost (OS1∗ and OS2∗ in Figure 9.1). However, when both effects are considered, the optimal diversification distance is at OS3∗, where the marginal revenue of diversification from the combined effects equals to the marginal cost of diversification.

Figure 9.1. The determinants of the optimal scope of a firm
Notes: OS1∗ is the optimal scope when only the benefit from employees’ increased investment incentives is considered; OS2∗ is the optimal scope when only the benefit from economies of scope is considered; OS3∗ is the optimal scope when both the benefits of economies of scope and employee incentives are considered
Of course, the analysis in Figure 9.1 assumes that the benefit from exploiting core competencies, which is determined by the applicability of core firm resource (or strategic asset) in other product markets, and that from providing employee investment incentives, which is determined by the degree of reduction in risk to the core resource value, are not correlated. To the extent these benefits are correlated, the optimal diversification scope would be less than OS3∗ (Figure 9.1). Some strategy scholars have suggested that businesses that exploit the same underlying core resources can nev- ertheless have very different patterns of cash flow over time (e.g. Prahalad and Hamel 1990; Markides and Williamson 1994, 1996), implying a low correlation between these two benefits from diversification. However, the extent to which these benefits are correlated is ultimately an empirical question. All this suggests the following:
Proposition 5: When the benefits of realizing economies of scope and increased employee incentives to specialize are not perfectly correlated, a firm will diver- sify more widely than when only one of the benefits is considered. And the opti- mal diversification scope increases with a decrease in the correlation between the two benefits.
Finally, it is worth noting that this emphasis on risk reduction from diver- sification is also related to the argument of agency theory, in which diversification is used to reduce overall firm risk exposure. The agency argument, however, considers diversification as an outcome of conflicts between shareholder and managers since it reduces managers’ employment risk, but at the expense of the shareholders of the firm (Amihud and Lev 1981). In contrast, this part of this chapter argues that shareholders as well as employees (including managers) potentially gain from the firm’s diversification, because diversification encourages employees to join the firm and to invest in firm-specific knowledge and skills. Another notable difference between these two perspectives is that central to our argument is ‘resource-based’ diversification (related), which reduces risks associated with the core resources. In contrast, agency theory emphasizes conglom- erate diversification (unrelated), which leads to financial risk reduction, that is, it smoothes cash flow at the corporate level, but does not effectively reduce the risk of the underlying core resources.
Source: Barney Jay B., Clark Delwyn N. (2007), Resource-Based Theory: Creating and Sustaining Competitive Advantage, Oxford University Press; Illustrated edition.
