In this section, we investigate the impacts of various improvements of the prin- cipal’s information system on the optimal contract. The idea here is to see how signals that are exogenous to the relationship can be used by the principal to bet- ter design the contract with the agent. The simple observation of performances in similar principal-agent relationships and the choice of monitoring structures are examples of devices used to improve the agent’s control by mitigating the informa- tion gap between the principal and his agent.
1. Ex Post Verifiable Signal
Suppose that the principal, the agent and the court of law observe ex post a veri- fiable signal σ which is correlated with θ. This signal is observed after the agent’s choice of production (or alternatively after the agent’s report to the principal in a direct revelation mechanism). The contract can then be conditioned on both the agent’s report and the observed signal that provides useful information on the underlying state of nature.
For simplicity, we assume that this signal may take only two values, σ1 and σ2. Let the conditional probabilities of these respective realizations of the signal be µ1 = Pr(σ = σ1/θ = θ) ≥ 1/2 and µ2 = Pr(σ = σ2/θ = θ¯) ≥ 1/2. Note that, if µ1 = µ2 = 1/2, the signal σ is uninformative. Otherwise, σ1 brings good news—the fact that the agent is efficient—and σ2 brings bad news, since it is more likely that the agent is inefficient in this case.
Let us adopt the following notations for the ex post information rents: u11 =
, and
. Similar notations are used for the outputs qij . The agent discovers his type and plays the mechanism before the signal σ realizes. Then the incentive and participation constraints must be written in expectation over the realization of σ. Incentive constraints for both types write respectively as

Participation constraints for both types are written as

Note that, for a given schedule of output qij , the system (2.84) through (2.87) has as many equations as unknowns uij . When the determinant of the system (2.84) to (2.87) is nonzero, it is possible to find ex post rents uij (or equivalent trans- fers) such that all these constraints are binding:36 In this case, the agent receives no rent whatever his type. Moreover, any choice of production levels, in partic- ular the complete information optimal ones, can be implemented this way. The determinant of the system is nonzero when
![]()
Importantly, the condition (2.88) holds generically. It fails only if µ1 = µ2 = 1/2 , which corresponds to the case of an uninformative and useless signal.
Riordan and Sappington (1988) introduced the condition (2.88) in a single-agent environment. Crémer and McLean (1988) generalized this use of correlated information in their analysis of multiagent models. We will cover the important topic of yardstick competition for multiagent organi- zations in our next book.
2. Ex Ante Nonverifiable Signal
We keep the same informational structure as in section 2.14.1, but now we suppose that a nonverifiable binary signal σ about θ is available to the principal at the ex ante stage. Before offering an incentive contract, the principal computes, using the Bayes law, his posterior belief that the agent is efficient for each value of this signal, namely

Then the optimal contract entails a downward distortion of the inefficient agent’s production
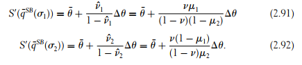
, which is for signals σ1 and σ2 respectively:

In the case where µ1 = µ2 = µ > 1/2, we can interpret µ as an index of the informativeness of the signal. Observing σ1, the principal thinks that it is more likely that the agent is efficient. A stronger reduction in q¯SB, and thus in the efficient type’s information rent, is called for after σ1. (2.91) shows that incentives decrease with respect to the case without informative signal since
. In particular, if µ is large enough, the principal shuts down the inefficient firm after having observed σ1. The principal offers a high-powered incentive contract only to the efficient agent, which leaves him with no rent. On the contrary, because he is less likely to face an efficient type after having observed σ2, the principal reduces less of the information rent than in the case without informative signal since
. Incentives are stronger.
Boyer and Laffont (2000) provided a comparative statics analysis of the effect of a more competitive environment on the optimal contract in an adverse selection framework. In their analysis, the competitiveness of the environment is linked to the informativeness of the signal σ.
3. More or Less Favorable Distribution of Types
In the last two sections, 2.14.1 and 2.14.2, we considered “improvements” in the information structure. More generally, even in the basic model of this chapter, one may wonder how information structures can be ranked by the principal and the agent in an adverse selection framework.
We will say that a distribution (v˜, 1 − v˜) is more favorable than a distribution (v, 1 − v) if and only if v˜ > v. Then the expected utility of the principal is higher with a more favorable distribution. Indeed, we can define this expected utility as
![]()
where we make explicit the dependence of V and q¯SB on v.
Using the Envelope Theorem, we obtain

which is strictly positive by definition of q∗.
The rent of the efficient type, Δθ¯SB, is clearly lower when the distribution is more favorable. As can be seen by differentiating (2.29), q¯SB(v) is a decreasing function of v. Incentives decrease as the distribution becomes more favorable. The perspective of a more likely efficient type leads the principal to a trade-off that is tilted against information rents, i.e., a trade-off that is less favorable to allocative efficiency. For the ex ante rent of the agent,
, we have instead
![]()
or, using (2.29),

Therefore, for Δθ small enough, the expected rent increases when the dis-tribution is more favorable, but it decreases when Δθ is rather large. Note that if there is shutdown when v becomes larger, the expected rent decreases necessarily.
The most interesting result is that, for Δθ small, both the principal and the agent gain from a more favorable distribution. There is no conflict of interests on the choice of the information structure.
See Laffont and Tirole (1993, chap. 1) for a similar analysis in the case of a continuum of types.
Source: Laffont Jean-Jacques, Martimort David (2002), The Theory of Incentives: The Principal-Agent Model, Princeton University Press.
