This section elaborates on the moral hazard paradigm discussed so far in a number of settings that have been discussed extensively in the contracting literature.
1. Efficiency Wage
Let us consider a risk-neutral agent working for a firm, the principal. By exerting effort e in f0h 1i, the firm’s added value is V¯ (resp. V ) with probability π(e)(resp. 1 − π(e)). The agent can only be rewarded for a good performance and cannot be punished for a bad outcome, since they are protected by limited liability.
To induce effort, the principal must find an optimal compensation scheme {(t, t¯)} that is the solution to the program below:


The problem is completely isomorphic to that analyzed in section 4.3. The limited liability constraint is binding at the optimum, and the firm chooses to induce a high effort when
. At the optimum, tSB = 0 and t¯SB > 0. The positive wage
, is often called an efficiency wage because it induces the agent to exert a high (efficient) level of effort. To induce production, the principal must give up a positive share of the firm’s profit to the agent.
The macroeconomic literature on efficiency wages started with Solow (1979) and Salop (1979) and was best developed by Shapiro and Stiglitz (1984), who presented a treatment of the dynamic incentive issues. When the performance of an agent is not easily verifiable, contracts cannot promise a share of profit to the agent and must use the threat of termination as a disciplinary device. Shapiro and Stiglitz (1984) argued that this results in voluntary unemployment. Firms offer high real-wages to prevent shirking by their workers. If any shirking is detected, agents are fired and return to the unemployment pool. See Saint-Paul (1996) for a survey. Carmichael (1985) and McLeod and Malcomson (1987) analyzed the efficiency wage model using a more microeconomic perspective on the self-enforceability of labor contracts in a dynamic context.
2. Sharecropping
The moral hazard paradigm has been one of the leading tools used by develop- ment economists to analyze agrarian economies. In the sharecropping example, the principal is now a landlord and the agent is the landlord’s tenant. By exerting an effort e in {0, 1}, the tenant increases (resp. decreases) the probability π(e)(resp. 1 − π(e)) that a large q¯(resp. small q) quantity of an agricultural product is produced. The price of this good is normalized to one so that the principal’s stochastic return on the activity is also q¯ or q, depending on the state of nature.
It is often the case that peasants in developing countries are subject to strong financial constraints. To model such a setting we assume that the agent is risk neutral and protected by limited liability. When he wants to induce effort, the principal’s optimal contract must solve

The optimal contract therefore satisfies
. This is again akin to an efficiency wage. The expected utilities obtained respectively by the principal and the agent are given by

The flexible second-best contract described above has sometimes been criti- cized as not corresponding to the contractual arrangements observed in most agrar- ian economies. Contracts often take the form of simple linear schedules linking the tenant’s production to his compensation. As an exercise, let us now analyze a simple linear sharing rule between the landlord and his tenant, with the landlord offering the agent a fixed share α of the realized production. Such a sharing rule automatically satisfies the agent’s limited liability constraint, which can therefore be omitted in what follows. Formally, the optimal linear rule inducing effort must solve

Obviously, only (4.70) is binding at the optimum. One finds the optimal linear sharing rule to be

Note that αSB < 1 because, for the agricultural activity to be a valuable ven- ture in the first-best world, we must have ΔπΔq >ψ. Hence, the return on the agricultural activity is shared between the principal and the agent, with high- powered incentives (α close to one) being provided when the disutility of effort ψ is large or when the principal’s gain from an increase in effort ΔπΔq is small.
This sharing rule also yields the following expected utilities to the principal and the agent, respectively
![]()
and

Comparing (4.68) and (4.73) on the one hand and (4.69) and (4.74) on the other hand, we observe that the constant sharing rule benefits the agent but not the principal. A linear contract is less powerful than the optimal second-best contract. The former contract is an inefficient way to extract rent from the agent even if it still provides sufficient incentives to exert effort. Indeed, with a linear sharing rule, the agent always benefits from a positive return on his production, even in the worst state of nature. This positive return yields to the agent more than what is requested by the optimal second-best contract in the worst state of nature, namely zero. Punishing the agent for a bad performance is thus found to be rather difficult with a linear sharing rule.
A linear sharing rule allows the agent to keep some strictly positive rent EUα. If the space of available contracts is extended to allow for fixed fees β, the principal can nevertheless bring the agent down to the level of his outside opportunity by setting a fixed fee βSB equal to
.
The literature on sharecropping, in its desire to be as close as possible to real world practices, has often assumed at the outset that contracts are linear (see Stiglitz 1974, Eswaran and Kotwal 1985, and Laffont and Matoussi 1995 for an empirical analysis). As we will see in Section 9.5.2, this linearity can be derived from more fundamental assumptions on contracting abilities and preferences.
3. Wholesale Contracts
Let us now consider a manufacturer-retailer relationship. The manufacturer sup- plies at constant marginal cost c an intermediate good to the risk-averse retailer, who sells this good on a final market. Demand on this market is high (resp. low) D¯(p) (resp. D(p)) with probability π(e) where, again, e is in {0, 1} and p denotes the price for the final good. Effort e is exerted by the retailer, who can increase the probability that demand is high if after-sales services are efficiently performed. The wholesale contract consists of a retail price maintenance agreement specify- ing the prices p¯ and p on the final market with a sharing of the profits, namely
. When he wants to induce effort, the optimal contract offered by the manufacturer solves the following problem:

The solution to this problem is obtained by appending the following expressions of the retail prices to the transfers given in (4.32) and (4.33):
. Note that these prices are the same as those that would be chosen under complete information. The pricing rule is not affected by the incentive problem, an example of what Laffont and Tirole (1993) called a dichotomy property in another context.
4. Financial Contracts
Moral hazard is a very important issue in financial markets. Let us now assume that a risk-averse entrepreneur wants to start a project that requires an initial investment worth an amount I. The entrepreneur has no cash of his own and must raise money from a bank or any other financial intermediary. The return on the project is random and equal to V¯ (resp. V ), with probability π(e) (resp. 1 − π(e)), where the effort exerted by the entrepreneur e belongs to {0, 1}. We denote the spread of profits by ΔV = V¯ − V > 0. The financial contract consists of repayments
, depending upon whether the project is successful or not.
To induce effort from the borrower, the risk-neutral lender’s program is writ- ten as

where (4.75) and (4.76) are respectively the agent’s incentive and participation constraints. Note that the project is a valuable venture if it provides the bank with a positive expected profit.
With the change of variables, t¯ = V¯ − z¯ and t = V − z, the principal’s program takes its usual form. This change of variables also highlights the fact that everything happens as if the lender was benefitting directly from the return of the project, and then paying the agent only a fraction of the returns in the different states of nature.
Let us define the second-best cost of implementing a positive effort CSB as we did in section 4.4, and let us assume that
, so that the lender wants to induce a positive effort level even in a second-best environment. The lender’s expected profit is worth
![]()
Let us now parameterize projects according to the size of the investment I. Only the projects with positive value V1 > 0 will be financed. This requires the investment to be low enough, and typically we must have
![]()
Under complete information and no moral hazard, the project would instead be financed as soon as
![]()
For intermediary values of the investment, i.e., for I in [ISB, I∗], moral hazard implies that some projects are financed under complete information but no longer under moral hazard. This is akin to some form of credit rationing.
Finally, note that the optimal financial contract offered to the risk-averse and cashless entrepreneur does not satisfy the limited liability constraint t ≥ 0. Indeed, we have
. To be induced to make an effort, the agent must bear some risk, which implies a negative payoff in the bad state of nature. Adding the limited liability constraint, the optimal contract would instead entail
. Interestingly, this contract has sometimes been interpreted in the corporate finance literature as a debt contract, with no money being left to the borrower in the bad state of nature and the residual being pocketed by the lender in the good state of nature.
Finally, note that

since h(·) is strictly convex and h(0) = 0. This inequality shows that the debt contract has less incentive power than the optimal incentive contract. Indeed, it becomes harder to spread the agent’s payments between both states of nature to induce effort if the agent is protected by limited liability. To the agent, who is interested only in his payoff in the high state of nature, only rewards are attractive.
Remark: The corporate finance literature, starting with Jensen and Meckling (1976), has stressed that moral hazard within the firm may not be due to the desire of the manager to avoid costly effort, but instead might be due to his desire to choose projects with private benefits. Those private benefits arise, for instance, when the manager devotes the resources of the firm to consume perquisites.
The modelling of these private benefits is very similar to that of the standard moral hazard problem viewed so far.27 Let us consider that the risk-neutral manager can choose between a good and a bad project. The shareholders’ return of the good project is V¯, with proba-bility π1 and π0 otherwise. However, by choosing the bad project, the manager gets a private benefit B that is strictly positive. A contract is again a pair of transfers
where, assuming limited liability, t = 0.
The manager chooses the good project when the following incen-tive constraint is satisfied:
![]()
which amounts to
![]()
This constraint is obviously binding at the optimum of the financier’s problem, and the financier gets an expected payoff V1 such that
![]()
where I is the investment cost that the financier has incurred. Obvi- ously, compared with complete information, the set of valuable invest- ments is reduced under moral hazard because of the agency cost incurred to avoid private benefits.
Holmström and Tirole (1994) presented a theory of credit rationing based on a similar model with private benefits. Two differences come from the fact that there is a competitive market of lenders and that the agent may finance part of the project with equity. One conclusion of their model is that wealthier agents find financing more easily.
5. Insurance Contracts
Moral hazard also undermines the functioning of insurance markets. We consider now a risk-averse agent with utility function uk·l and initial wealth w. With prob- ability π(e) (resp. 1 − π(e)) the agent has no (resp. an) accident and pays an amount z¯ (resp. z) to an insurance company. The damage incurred by the agent is worth d. Effort e in {0, 1} can now be interpreted as a level of safety care.
Monopoly
To make things simpler, and as in section 3.3.2, the insurance company is first assumed to be a monopoly and to have all of the bargaining power when offer- ing the insurance contract to the insuree. To induce effort from the insuree, the optimal insurance contract must solve

where wˆ is the certainty equivalent of the agent’s wealth when he does not pur-chase any insurance and when he exerts an effort. The certainty equivalent wˆ is implicity defined as ![]()
Note that the right-hand side of (4.85) is not zero. Except for this nonzero reservation value, the problem is very close to that of section 4.5 after having replaced variables so that the net transfers received by the agent are
and t = w − d − z and having noticed that S¯ = w and S = w − d.
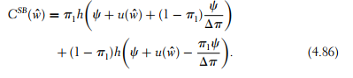
Both constraints (4.84) and (4.85) are again binding at the optimum, and the second-best cost of inducing effort is now written as

Without moral hazard this cost of inducing effort would instead be
![]()
Let us thus use
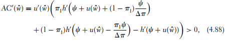
to denote the agency cost due to moral hazard incurred by the principal, i.e., the difference between the second- best and the first-best cost of inducing effort. Differentiating with respect to wˆ, we have

if h‘(·) is convex. In fact, we let the reader check that this latter convexity is ensured when
is the agent’s degree of absolute pru-dence and
is his degree of absolute risk aversion.
The fact that AC(wˆ) is monotonically increasing with wˆ can be interpreted as saying that, as the agent’s wealth increases, there is more distortion due to moral hazard in the decision of the insurance company to induce effort or not. However, the sufficient condition on hk·l needed to obtain this result is somewhat intricate. This highlights the important difficulties that modellers often face when they want to derive comparative statics results from even a simple agency problem.
Competitive Market
The insurance market is often viewed as an archetypical example of a perfectly competitive market where insurers’ profits are driven to zero. Without entering too much into the difficult issues of competitive markets plagued by agency problems, it is nevertheless useful to characterize the equilibrium contract inducing a positive effort. Because of perfect competition among insurance companies, this contract should maximize the agent’s expected utility subject to the standard incentive compatibility constraint (written with our usual change of variables)
![]()
and subject to the constraint of non-negative profit for the insurance company
![]()
The equilibrium contract must therefore solve the following problem:

Denoting by λˆ and μˆ the respective multipliers of those two constraints, the necessary and sufficient first-order conditions for this concave problem are written, respectively, as (with the superscript M for market equilibrium)

Summing those two equations immediately yields
![]()
Hence, the zero profit constraint of the firm is automatically satisfied by this equilibrium contract. Similarly, we also find that
![]()
because h(·) is convex and u¯M > uM is necessary to guarantee that (4.89) holds. The incentive compatibility constraint is thus also binding at the equilibrium con- tract.
Denoting by UM the agent’s expected utility when exerting a positive effort, the binding non-negative profit constraint of the insurance company can be rewrit- ten as:

The market does not break down as long as (4.95) defines implicity a value UM, which is greater than what the agent gets by not taking any insurance contract, i.e.,
. In fact, UM > u(wˆ) amounts to

Under complete information the agent would be perfectly insured and would exert a positive effort. He would then get a positive expected utility U ∗, such that h(U ∗ + ψ) = w − d(1 − π1). Again, the market does not break down as long as U ∗ > u(wˆ), which amounts to
![]()
Note that (4.97) always holds when
, because then
by Jensen’s inequal- ity. Hence, the market never breaks down under complete information. Because hk·l is convex, Jensen’s inequality also implies that the left-hand side of (4.96) is greater than
. Hence, the condition (4.96) may not hold even if (4.97) always holds. Moral hazard may induce a market breakdown.
Source: Laffont Jean-Jacques, Martimort David (2002), The Theory of Incentives: The Principal-Agent Model, Princeton University Press.
