Competition, unlike conflict, is difficult to observe directly because it is often indirect. Therefore, empirically-minded analysts look for ways to study competition indirectly. One way is to exploit the relationship between niche overlap and competition that is implied by classical competition theory. This is the tack that population biologists have taken. They typically do not use the LV model or its relatives to estimate ct’s from nonexperimental data. Instead they rely on the close relationship between competition theory and niche theory to obtain indirect estimates of competition from overlap of niches defined in terms of observed utilization of resources. The profile of utilization of a population is a summary of its concentration on various levels of a continuous resource or on categories of a discrete resource. We denote the utilization function of population i by Ui(z). That is, Uj(z) indicates the intensity with which a population uses the resource in question at level z. An example in organizational ecology is the size of a particular kind of transaction, such as a contract for construction. Such contracts vary from those involving hundreds of dollars for small household repairs to some involving billions of dollars for constructing dams or highways. Different populations of contractors apparently specialize in making bids in different portions of the range, with local general contractors at the lower end and multinational corporate contractors at the other.
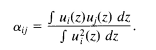
Suppose that two populations of firms, / and j, use the same general resource base but with differing profiles of utilization. Following Mac Arthur (1972), we define the competition coefficient for this case as:

This expression tells the probability that a member of population i will encounter a member of population j at a particular resource position averaged over all resource positions divided by the probability that it will encounter a member of its own population at each position. Thus the competition coefficient tells the probability of inter-population interaction in resource acquisition relative to intra-population interaction.
When the resource has a discrete distribution, the corresponding measure of the competition coefficient is equivalent to an index well known to sociologists: Bell’s (1954) p* index of segregation (see also Lieberson 1969). The p* index was devised to measure the probability of contacts between racial or ethnic populations over neighborhoods or census districts. Olzak (in press) has generalized this index to measure occupational competition between ethnic groups. This analysis treats occupations as resources and compares the utilization of these resources for different ethnic groups as the way to measure competition. A similar approach for measuring niche overlap appears to have considerable merit in organizational research.
A population’s niche width is the variance of its resource utilization:
![]()
So, for example, a set of construction firms that bids only on contracts for renovations of residential housing has a low variance of utilization of the resource base in terms of size of contract; they have a narrow niche. A population of firms that bids on those projects as well as on many other types has a broad niche.
Some resources have discrete distributions, for example the set of indus- tries over which labor unions can organize. For such cases, niche position is defined as the discrete distribution of utilization over the categories, and niche width is defined as an index of dissimilarity. Population biologists typically use Shannon’s information (entropy) measure:

These measures generalize naturally to multiple dimensions for both con- tinuous and discrete resources.
We use this approach in measuring niche width. For example, we measure the niche width of semiconductor manufacturing firms in terms of the fraction of the industry’s mix of products that a firm produces. (Since we do not have complete data on the proportion of each firm’s value of sales for each product, we cannot compute an entropy measure of diversity for firms.) Similarly, we characterize a labor union by the number of occupational and industrial categories that it claims to organize.
It is worth emphasizing that the niche of any population is multidimen- sional. Niche width can be defined with respect to each dimension of the niche. A particular unit (or population) may have a broad niche with respect to one dimension and a narrow niche with respect to another. For example, a union may organize broadly in terms of occupations but narrowly with respect to industries, as when classic industrial unions try to organize all trades in one or a few industries. On the other hand, many classic craft unions organized a single trade across many industries that employ the trade. Which dimensions of the niche to emphasize in any analysis is an important substantive question. What are the advantages and disadvantages to a population of organiza- tions of having a narrow niche? Attempting to answer this question exposes fundamental issues in organizational ecology; it raises a jack-of-all- trades problem that is central to the analysis of organizations but has so far been given little attention. This is the obvious tradeoff between tolerance of widely varying conditions and capacity for high performance in any particular situation. Organizations just cannot do all kinds of activities superbly. Investment in the capacity to perform one kind of action efficiently and reliably means less investment in other capacities, since resources and the time of members are finite. Moreover, as we have already discussed, maintaining the capacity to do many kinds of activities consumes a great many resources and thereby implies reduced efficiencies and reliability in performing at least some kinds of activities. So organizations and their designers face a classic problem: should they seek to become jacks- of-all-trades (and masters of none), or should they concentrate on developing one or a few capacities?
Although this question has not been pursued seriously by organization theorists, it has been the focus of much attention in population biology. Again we suggest that it would be useful to try to build on these efforts rather than trying to reinvent the wheel. In particular, we have found Levins’ (1968) theory of niche width to be a useful point of departure in answering questions about specialism versus generalism in populations of organizations (Hannan and Freeman 1977; Freeman and Hannan 1983).
Some of the efficiency resulting from specialism derives from lower requirements for maintaining excess capacity. Given some uncertainty about the environment, most organizations maintain some excess capacity to ensure reliability of performance when conditions change. In rapidly changing environments, the definition of excess capacity changes frequently. What is fully employed today may be excess tomorrow, and what is excess today may be crucial tomorrow. Because generalists hold some capacity in reserve and specialists commit most of their resources to a few tactics for dealing with the environment, specialist organizations will appear to be leaner than generalists, to have less organizational “slack.” So in a sense niche theories ask whether organizational slack provides an evolutionary advantage.
Niche width theories address both temporal and spatial variations in environments. They typically focus on two features of temporal and spatial distributions. The first is the level of environmental variability, the variance of a spatial or temporal series about its mean; the second is the pattern of variation or grain. Grain refers to the pattern of mixing of different types of outcomes in the spatial or temporal distribution. Think of a spatial distribution as being composed of small patches of different types. When the patches are well mixed, large runs of one type are rare. Such a distribution is said to be fine-grained. Alternatively, when the patches are not well mixed, large runs of one type can occur. Such a distribution is said to be coarse-grained.
In the case of a temporal series, the variability of a series can be repre- sented by combinations of waves with different frequencies. When high- frequency variations dominate, the series has fine grain. When low-frequency variations comprise much of the variance in the series, it has coarse grain. Except for the extreme case of complete stability (for which grain is undefined), variability and grain can vary independently. In our analysis of mortality in the semiconductor industry we characterized the industrial environments of firms in terms of the variability in aggregate sales in the industry for the product categories they produced and in terms of lengths of cycles in the time series of aggregate sales. We treated series with mainly short (high-frequency) cycles as fined-grained, and those with longer (low-frequency) cycles as coarse-grained.
Consider how environmental variations affect growth rates (fitness) by examining the simple case of environments that fluctuate between two kinds of patches either spatially or temporally. Figure 5.2 displays hypothetical fitness functions for two cases. In the top panel, the fitness functions for the two kinds of patches overlap considerably, meaning that the two kinds of patches impose similar adaptation demands. In the bottom panel, the’overlap is small, meaning that the two kinds of patches pose very different adaptive demands—high fitness in one environment precludes high fitness in the other. Now consider many different kinds of populations with differing levels of fitness in the two kinds of patches. Levins represented fitness sets with curves like those in Figure 5.3, whose axes represent fitness in the two kinds of patches. Each population, with a fixed pair of fitness values in the two patches, is a point in the fitness set. The boundaries of the fitness sets are the points of maximum fitness. In the top panel, which represents the fitness sets for the curves in the top part of Figure 5.2, the fitness set is convex along its upper right boundary. That is, all straight lines connecting points in the fitness set fall within the set. The case of dissimilar patches, the bottom panel of Figure 5.3, produces a concave fitness set.
Levins introduced a graphic method for finding optimal strategies, as- suming a principle of allocation that makes strategic analysis interesting: each population has a constant sum of fitness that may be allocated across strategies for playing the evolutionary game. This method involves using so- called adaptive functions, which tell how selection processes weight fitness in two kinds of patches. In the case of fine grain, actors encounter the environment in small patches.19 Fine-grained environments are experienced as an average of the various types of patches. Levins reasoned that selection in fine-grained environments weights fitness in the two kinds of patches additively (see also Roughgarden 1979, p. 269). This reasoning implies that overall fitness is a linear combination of the fitness in each patch weighted by the average frequency of each patch type:
![]()
where p is the probability that the environment is in patch type 1.

Figure 5.2 Fitness functions, (top) Similar environments; (bottom) dissimilare nvironments

Figure 5.3 Fitness sets, (top) Similar environments; (bottom) dissimilar environments
When the typical duration of a patch is long relative to life expectancy, the environment is not experienced as an average. Survival requires enduring long durations of either kind of patch. Forms that are poorly suited to either one have a low probability of survival. This reasoning suggests that overall fitness is a multiplicative function of fitness in the two patches. Levins chose a log-linear form:
![]()
Roughgarden (1979, p. 269) provides a population-genetic justification of this specification.
Optimal populations (in this environment) are represented by points on the boundary of the fitness set that are tangent to the highest-valued adaptive function, which are denoted by dashed lines in the figures. These points of tangency indicate the maximal growth rates attainable in the given environment. The evolutionary process is modeled as a selection process that maximizes fitness (growth rates). That is, evolution favors populations whose strategies can be represented as points on the boundary of the fitness sets.
Clearly stable environments favor populations of specialists regardless of the grain and shape of the fitness functions. That is, specialist populations tend to dominate in equilibrium in all stable environments. But what are the effects of variability? A graphic analysis of the case of high variability (p ≈ .5) is shown in Figure 5.4. This figure shows that generalism is favored in all kinds of variable environments when fitness sets are convex. Both the linear and log-linear adaptive functions select populations with moderate levels of fitness in both kinds of patches, that is, generalists in this case.
Suppose that typical fluctuations are large relative to tolerances, which means that fitness sets are convex, as shown in Figure 5.5. Fine-grained variations favor specialists (top panel, Figure 5.5), but coarse-grained vari- ations favor generalists (bottom panel). However, the combination of coarse- grain variability and concave fitness sets favors populations consisting of mixtures of specialists. Populations that contain mixtures of specialists are called polymorphs. The fitness of polymorphic populations is bounded by the straight line on the upper right boundary of the fitness set in the bottom panel of Figure 5.5. Note that selection favors polymorphic populations over generalists when both are present; otherwise it favors generalists over specialists.

Figure 5.4 Similar environments, (top) Optimal strategy with fine grain; (bottom) optimal strategy with coarse grain


Figure 5.5 Dissimilar environments, (top) Optimal strategy with fine grain; (bottom) optimal strategy with coarse grain
Earlier (Hannan and Freeman 1977) we discussed an organizational ana- logue to polymorphism. Organizations may federate in such a way that supraorganizations consisting of heterogeneous collections of specialist organizations pool resources. When the environment is uncertain and coarse- grained and it is costly to establish and dismantle subunits, the costs of maintaining the unwieldy structure imposed by federation may be more than offset by the fact that at least a portion of the amalgamated organization will do well no matter what the state of the environment.
Such a holding company (or H-form) pattern seems to characterize modern universities. Enrollments, research support, yields on invested endowments, and levels of public funding fluctuate over time for most universities. Some of these fluctuations follow predictable cycles; others do not. What is the optimal adaptation to such fluctuations? One possibility is to reallocate funds internally among subunits so that currently favored units expand and others contract. In the extreme, universities might create schools and departments when there is external support for them and close them down when the support dwindles. However, it is extremely expensive to build up and dismantle academic units; this is costly not only in material terms but also in the energies consumed by political conflict. It also takes time to build new academic units, and it is doubtful whether most universities can do so quickly enough to keep pace with fads and fashions. Consequently, universities tend to “tax” subunits with bountiful environments to subsidize less fortunate subunits. It is common, for example, for universities to allocate faculty positions according to some fixed master plan, undersupporting departments in rapidly growing fields and maintaining excess faculty in others. This partial explanation of the unwieldy structures that encompass liberal arts departments, professional schools, extension services, and research laboratories is at least as persuasive as explanations that emphasize intellectual interdependence among units and use of shared resources.
Consider another application of niche width theory. Stinchcombe (1959) pointed out that construction firms do not fit the common bureaucratic model of organization. Instead of relying on bureaucratically organized administrative staffs to coordinate work, they employ high-wage skilled craftsmen. They implicitly leave the coordination of most work to crafts-men, who follow a set of blueprints. These firms also delegate selection, training, and allocation of workers to the craft construction unions. Stinch- combe argued that this is an expensive set of solutions. Considerably higher wages are paid than would be the case if construction firms created a fine- grained, “deskilled” division of labor with bureaucratic labor controls. It may also be expensive in the sense that the firms can exercise little control over the detailed flow of the work. What explains the continued reliance of construction firms on this apparently expensive solution?
Stinchcombe suggested that the answer to this question lies in considering the consequences of large seasonal fluctuations in construction work. Administrative staffs constitute an overhead cost that remains relatively constant over the year. Under a craft system, levels of employment of production workers can easily be shifted up or down with the level of demand. When coordination is relegated to the craft workers and their union, construction firms avoid keeping employees on the payroll during the slack winter season. Stinchcombe claims that the savings obtained more than offset the additional costs of hiring skilled craftsmen during the high-demand seasons.
In ecological terms, the demand environment is coarse-grained. In addition, the high and low seasons place very different demands on construction firms, resulting in a concave fitness function. Craft-administered housing construction firms are probably quite inefficient when demand is at its peak and when the kind of building is standardized. If such conditions persisted, the craft-form population of construction firms would face stiff competition from a more bureaucratic form. For instance, in regions where housing construction is less seasonal, the construction business ought be more bureaucratically organized and to rely less on unionized skilled craftsmen by this argument. This does seem to be the case.
Another variation in demand follows business cycles and interest rates. Although seasonal fluctuations are regular, it is more difficult to predict interest rates, quality of labor relations, and costs of materials. Variations of this sort should favor generalist forms (including polymorphic forms) over specialized ones, because such environments have coarse-grained variability and the fitness sets are concave. For this reason, we think that craft- administered construction organizations tend to be general contractors who not only build houses but engage in other kinds of construction as well, such as shopping plazas and office buildings.
We have adapted Levins’ theory to develop parametric models of the effects of variability and grain on the mortality of populations of specialist and generalist organizations. We discuss our version of niche width theory in Chapter 12, where we implement the models empirically.
Glenn Carroll (1985) has developed a slightly different model of the dynamics of organizational niche width. He suggests that the life chances of specialist and generalist organizations depend on the level of concentration in the environment. Imagine a geographically dispersed market whose center has high, concentrated demand and whose periphery consists of pockets of heterogeneous demand. When there are few organizations, each attempts to exploit the center of the market. As the number of organizations grows, the largest, most powerful generalists typically push other organizations from the center. If generalists are numerous, some of them will be forced to exploit more peripheral segments of the market. Carroll assumes that their size and power allow them to outcompete specialists in the periphery. So the life chances of specialists deteriorate when the number of generalists in the market increases.
If, however, one or a few generalists come to dominate and push the other generalists completely out of the market, the opportunity arises for specialists to thrive in the periphery. Thus concentration in a market has opposite effects on the life chances of specialists and generalists. As a market (or more generally an organizational community) concentrates, the mortality rates of generalists rise and those of specialists fall.
Carroll specified this model in terms of the Makeham model of age dependence, which is discussed in Chapter 8. His model of the mortality rates (μ) of specialist and generalist organizations has the form:

where μs and μg denote the mortality rates of specialists and generalists respectively, u is an organization’s age, and C is a measure of the concen- tration of the market. Concentration is measured as the inequality of the distribution of consumers and advertisers over newspapers in the local market (using Gini indices). The predictions from Carroll’s model of niche width are
![]()
Analysis of mortality rates in populations of local newspaper firms supports this argument (Carroll 1985).
We have emphasized selection on the basis of niche width for two reasons. First, we think that variations in degree of specialism are an obvious and important feature of the contemporary world of organizations. The existence of large variations makes it easy to apply the theories and models to the social world. The likely importance of variations in specialism to the life chances of organizations suggests that trying to answer issues about the niche and niche width of organizations raises fundamental issues about the causes of organizational diversity. The second reason for concentrating on niche width is to emphasize a core idea in the program of evolutionary ecology, that is, the relationship between niches defined in terms of observable patterns of resource utilization and underlying processes of growth and competition. The next chapter builds on this notion in developing parametric models of the dynamics of organizational populations.
Source: Hannan Michael T., Freeman John (1993), Organizational Ecology, Harvard University Press; Reprint edition.
