In dealing with complexes of “elements,” three different kinds of distinction may be made—i.e., 1. according to their number; 2. according to their species; 3. according to the relations of elements. The following simple graphical illustration may clarify this point (Fig.3.1) with a and b symbolizing various complexes.

Fig. 3.1. See text.
In cases 1 and 2, the complex may be understood as the (cf. pp. 66ff.) sum of elements considered in isolation. In case 3, not only the elements should be known, but also the relations between them. Characteristics of the first kind may be called summative, of the second kind constitutive. We can also say that summative characteristics of an element are those which are the same within and outside the complex; they may therefore be obtained by means of summation of characteristics and behavior of elements as known in isolation. Constitutive characteristics are those which are dependent on the specific relations within the complex; for understanding such characteristics we therefore must know not only the parts, but also the relations.
Physical characteristics of the first type are, for example, weight or molecular weight (sum of weights or atomic weights respectively), heat (considered as sum of movements of the molecules), etc. An example of the second kind are chemical characteristics (e.g., isomerism, different characteristics of compounds with the same gross composition but different arrangement of radicals in the molecule).
The meaning of the somewhat mystical expression, “the whole is more than the sum of parts” is simply that constitutive characteristics are not explainable from the characteristics of isolated parts. The characteristics of the complex, therefore, compared to those of the elements, appear as “new” or “emergent.” If, however, we know the total of parts contained in a system and the relations between them, the behavior of the system may be derived from the behavior of the parts. We can also say: While we can conceive of a sum as being composed gradually, a system as total of parts with its interrelations has to be conceived of as being composed instantly.
Physically, these statements are trivial; they could become problematic and lead to confused conceptions in biology, psychology and sociology only because of a misinterpretation of the mechanistic conception, the tendency being towards resolution of phenomena into independent elements and causal chains, while interrelations were bypassed.
In rigorous development, general system theory would be of an axiomatic nature; that is, from the notion of “system” and a suitable set of axioms propositions expressing system properties and principles would be deduced. The following considerations are much more modest. They merely illustrate some system principles by formulations which are simple and intuitively accessible, without attempt at mathematical rigor and generality.
A system can be defined as a complex of interacting elements. Interaction means that elements, p, stand in relations, R, so that the behavior of an element p in R is different from its behavior in another relation, R’. If the behaviors in R and R’ are not different, there is no interaction, and the elements behave independently with respect to the relations R and R’.
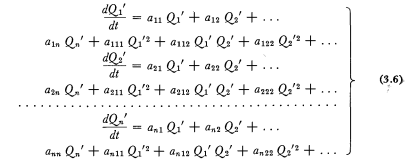
A system can be defined mathematically in various ways. For illustration, we choose a system of simultaneous differential equations. Denoting some measure of elements, pi (i = 1, 2, .. . n), by Qi these, for a finite number of elements and in the simplest case, will be of the form:

Change of any measure Qi therefore is a function of all Q’s, from Q1 to Qn; conversely, change of any Qi entails change of all other measures and of the system as a whole.
Systems of equations of this kind are found in many fields and represent a general principle of kinetics. For example, in Simultankinetik as developed by Skrabal (1944, 1949), this is the general expression of the law of mass action. The same system was used by Lotka (1925) in a broad sense, especially with respect to demographic problems. The equations for bio- coenotic systems, as developed by Volterra, Lotka, D’Ancona, Gause and others, are special cases of equation (3.1). So are the equations used by Spiegelman (1945) for kinetics of cellular processes and the theory of competition within an organism. G. Werner (1947) has stated a similar though somewhat more general system (considering the system as continuous, and using therefore partial differential equations with respect to x, y, z, and t) as the basic law of pharmacodynamics from which the various laws of drug action can be derived by introducing the relevant special conditions.
Such a definition of “system” is, of course, by no means general. It abstracts from spatial and temporal conditions, which would be expressed by partial differential equations. It also abstracts from a possible dependence of happenings on the previous history of the system (“hysteresis” in a broad sense); consideration of this would make the system into integro-differential equations as discussed by Volterra (1931; cf. also d’Ancona, 1939) and Donnan (1937). Introduction of such equations would have a definite meaning: The system under consideration would be not only a spatial but also a temporal whole.
Notwithstanding these restrictions, equation (3.1) can be used for discussing several general system properties. Although nothing is said about the nature of the measures (b or the functions fi—i.e., about the relations or interactions within the system- certain general principles can be deduced.
There is a condition of stationary state, characterized by disappearance of the changes dQi/dt
![]()
By equating to zero we obtain n equations for n variables, and by solving them obtain the values:

These values are constants, since in the system, as presupposed, the changes disappear. In general, there will be a number of stationary states, some stable, some instable.
We may introduce new variables:
![]()
and reformulate system (3.1):

Let us assume that the system can be developed in Taylor series:

A general solution of this system of equations is:

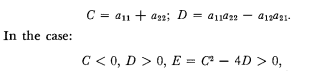
where the G are constants and the λ the roots of the characteristic equation:

The roots X may be real or imaginary. By inspection of equations (3.7) we find that if all λ are real and negative (or, if complex, negative in their real parts), Qi‘, with increasing time, approach 0 because e-∞= 0; since, however, according to (3.5) Qi = Qi* — Qi‘, the thereby obtain the stationary values Qi*. In this case the equilibrium is stable, since in a sufficient period of time the system comes as close to the stationary state as possible.
However, if one of the λ is positive or 0, the equilibrium is unstable.
If finally some λ are positive and complex, the system contains periodic terms since the exponential function for complex exponents takes the form:
![]()
In this case there will be periodic fluctuations, which generally are damped.
For illustration, consider the simplest case, n = 2, a system consisting of two kinds of elements:

Again provided that the functions can be developed into Taylor series, the solution is:
![]()
with Q1*, Q2* as stationary values of Q1, Q2, obtained by setting f1 = f2 = 0; the G’s integration constants; and the λ’s roots of the characteristic equation:
![]()
or developed:

with

both solutions of the characteristic equation are negative. Therefore a node is given; the system will approach a stable stationary state ( Q1*, Q2*) as e-∞= 0, and therefore the second and follow-ing terms continually decrease (Fig. 3.2).
In the case:
C < 0, D > 0, E = C2 – 4D < 0,
both solutions of the characteristic equation are complex with negative real part. In this case we have a loop, and point (Q1, Q2) tends towards (Q1*, Q2*) describing a spiral curve.

In the case:
C = 0, D > 0, E < 0,
both solutions are imaginary, therefore the solution contains periodic terms; there will be oscillations or cycles around the stationary values. Point (Q1, Q2) describes a closed curve around (Q1*, Q2*).
In the case:
C > 0, D < 0, E > 0,
both solutions are positive, and there is no stationary state.
Source: Bertalanffy Ludwig Von (1969), General System Theory: Foundations, Development, Applications, George Braziller Inc.; Revised edition.
