We now describe and analyze a simple evolutionary model that inev itably settles eventually into a static equilibrium that closely re sembles the competitive equilibrium of orthodox theory. After com pleting the formal analysis, we review the critical assumptions that underlie i ts orthodox conclusions, and in so doing identify some of the limitations of informal arguments of the sort advanced by Friedman.
The focus here is on selection of two d ifferent kinds of routines. One is the ” technique” that a firm uses in production. The other is the “decision rule” that determines a firm’s rate of capacity utiliza tion and thus i ts output level.
The industry in question produces a single homogeneous product. All firms in the industry face the same set of technical alternatives for producing their product. All feasible techniques are characterized by fixed input coefficients for variable inputs and constant returns to scale. All techniques have the same ratio of capacity output to capital stock; for convenience, let that ratio equal one. Techniques differ however, in terms of their variable inputs. A firm at any time em ploys only one technique.
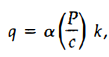
The second routine employed by a firm is i ts capacity utilization rule. Such a rule relates the extent of capacity utilization to the ratio of price to unit variable cost of production. Thus,

where P and c are product price and unit variable production cost respectively, and q and k are output and capital (capaci ty) . It is as sumed that function a(·) is continuous, monotone nondecreasing, positive for sufficiently large values of its argument, and satisfies 0 ≤ a(·) ≤ 1. A capacity utilization rule may be interpreted as describing the percentage profit margin over variable cost needed to induce the firm to operate at various capacity utilization levels.
Factors of production are supplied perfectly elastically to the in dustry, and all factor prices are positive and constant over the course of the analysis. Thus all techniques can be characterized and ranked by variable unit production costs. Of course, for any technique total unit production cost is negatively related to the level of capacity utili zation. For expositional convenience we assume that there is a unique best technique with unit variable production cost cˆ. We should call attention to the fact that there is not necessarily a unique best (profit-maximizing) capacity utilization rule. It is true that no other rule can beat the rule flagged by orthodox theory:

But for any particular P/ c value, any rule that calls for the same out put as this one yields the same profit.:
The industry faces a strictly downward-sloping, continuous de mand price function that relates the price of the product produced to total industry output. The function is defined for all nonnegative out put levels. It is assumed that if total industry output is small enough, some technique and capacity utilization rule will yield a positive profit. If industry output is large enough, no technique and utiliza tion rule will be profitable.
Formally, the system can be characterized as follows. Assuming that all the capacity possessed by a firm employs the same technique and is operated according to the same capacity use rule, the state of firm i at time t can be characterized by the triple (cU/ au, kit).
Together, the states of all firms at t dete rmine a short-run supply function for period t:

Together with the demand-price function
![]()
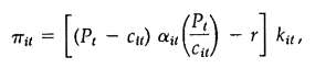
this determines Pt and q for the short-run period. The above assumptions concerning h(·) and the ait(·) guarantee that such a short-run equilibrium always exists. Net profit for firm i is

where r is the cost of capital services.
1. Orthodox Equilibrium
It is apparent that, given the usual assumptions of orthodox theory, a conventional long-run equilibrium exists in this model. The ortho dox assumptions are that firms are faultless profit maximizers, and that there are enough firms in the industry so that firms treat prices as parameters (our capacity utilization rules implicitly presume they do).
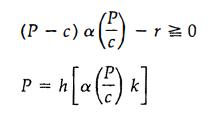
It is clear that if an equilibrium exists, profit maximization in that equilibrium requires that all operating firms employ the technique with the lowest unit cost. Thus, for all firms with qi> 0, ci = cˆ. For profits to be nonnegative, equilibrium price, P*, must exceed cˆ. Then profit is maximized with an output determination rule that calls for full capacity utilization at P equals P*. Of course, the orthodox rule has this property.
Equilibrium price P* must equal cˆ + r, else profit-maximizing firms would see incentives to change capacity. The assumptions about the demand-price function guarantee that there is a q* such that h(q*) = cˆ + r. This is an equilibrium output and price. At that price, with all firms operating at full capacity
, equilibrium capital stock equals equilibrium output. Since there are constant returns to scale, the total industry capacity can be divided up in any way among the firms in the industry. W ith this total capacity and output, and all firms using the optimum techniques and decision rules, profits are maximized, profits are zero, and we have an ortho dox long-run equilibrium.
2. Selection Dynamics
Is there a selecti,on equilibrium as well- that is, a situation that is a stationary position for an appropriately defined dynamic process in volving expansion of profitable firms and contraction of unprofitable ones? If there is such an equilibrium, does it have the same proper ties as the orthodox one? To answer these questions, we obviously need to specify the dynamics of the selection process.
Our analysis will rely on the mathematical tools of the theory of finite Markov chains. In order to exploit these tools, there is need to modify and constrain the assumptions made above about production methods and capacity utilization policies. We assume the set of all feasible production techniques is finite, and the set of possible capacity utilization rules finite as well . (The orthodox, profit maximizing capacity utilization rule is included in that finite set. ) We further assume that capital comes in discrete packets; thus, at any time a firm possesses an integer-valued n umber of m achines. All ma chines used by a firm at any time operate with the same technique and according to the same utilization rule. Thus, as above, the state of a firm at any time can be characterized by a triple -the technique it is using, the capacity u tilization policy it is using, and the number of machines it possesses. Each of these components is a discrete vari able.
It is also assumed that the total number of firms actually or poten tially in the industry is finite and constant, though the mix of extant firms and ” potentials” may change. This number, M, is assumed to be large enough not only to make price-taking b ehavior on the part of firms plausible, but also to support the arguments made b elow about search. Note that because capacity utilization can vary contin uously, it is still true that a short-run equilibrium always exists. We will abstract from the processes by which it is achieved.
Because the number of machines is integer-valued, the standard argument presented above that a long-run equilibrium exists, based on continuity both of the demand function and of the (profit-maximizing) supply correspondence, no longer can be employed with this model . However, it is clear that the orthodox market equi librium “almost” exists if the capacity output of a machine is small enough relative to industry output. Pleading substantive rather than mathematical plausibility, we will assume that there is an orthodox equilibrium – that is, that the output level q * determined by cˆ + r = h (q * ) is an integer.
We make the following assumptions about investment. For firms with positive capital stock, if profit is zero, then investment is zero. Extant firm s making positive profits expand probabilistically . There is zero probability that they will decline in size. With positive proba bility they remain the same size. With positive probability they add one machine to their stock. It also is possible that they add more than one machine, but there are bounds on their feasible expansion. Ex tant firms making negative profits contract probabilistically in the same sense; they certainly do not expand, there is a positive proba bility of no change, a positive probability of decline by just one unit, and a positive probability of a greater decline (but the magnitude of the decline is bounded by the firm’s prevailing capital stock). Poten tial entrants, firms with zero capital stock, with positive probability (less than one), enter the industry with just one machine, if the rou tine pair they are contemplating would yield a positive profit at PI if put into practice. Potential entrants with contemplated routine pairs that yield zero or negative profits do not enter.
The foregoing assumptions are expressed formally as follows. For extant firms just breaking even:
![]()
for extant firms making positive profit:

for extant firms making negative profits:
kt+1 = kt + δ, with δ having same distributional characteristics as above, with Δ = kt;
for potential entrants contemplating routines that yield positive profit:
kt+1 = 0 or 1, each with positive probability;
and for potential entrants contemplating routines that do no better than break even:
kt+1 = 0
A feature that sharply distinguishes our evolutionary models from orthodox ones is that we do not impute to firms the ability to scan instantaneously a large set of decision alternatives. However, our model firms do engage in groping, time-consuming search. In this particular model we make the following assumptions about search. First, the outcome of the search, presuming that a firm is actively searching, is defined in terms of a probability distribution of rou tines which will be found by search, perhaps conditional upon a firm’s prevailing ro utines. Second, regardless of the prevailing rou-tines, there is a positive probability that any other technique, decision-rule pair will be found in a search. Third, there is positive probability that a searching firm will find no new routines and will thus necessarily retain its prevailing routines.
To complete our characterization of the dynamic system, we need to specify when search occurs. Two sets of considerations, partially opposed to each other, are involved. If the system is to wind up in an equilibrium that resembles an orthodox one, firms must search actively enough to assure that the orthodox actions-such as the use of the lowest- cost production technique- are ultimately found and tried. On the other hand, search must not be so active as to dislodge the system from what would otherwise be a reasonable equilibrium. A variety of assumptions can meet these requirements. Here we as sume that firms with positive capacity do not search at all if they are making positive or zero profits; they “satisfice” on their prevailing routines. Potential entrants to the industry (firms with zero capacity) are assumed to be sean:hing always, but when they enter they do so with routines that have passed the profit ability test.
3. Selection Equilibrium
In the context of the present model, we shall define a (static) selection equilibrium as a situation in which the states of all extant firms re main unchanged, and the roster of extant firms also remains un changed. It should now be clear that an orthodox market equilibdum (with an integral number of machines) constitutes such an equilib rium for the selection process j ust described. All firms in the industry with positive capacity are just breaking even; therefo re, they are neither expanding nor contracting. Potential entrants continue to search, but no routines can be found that yield a positive profit in orthodox market equilibrium; thus, no actual entry occurs and the orthodox equilibrium values of price and industry output persist indefinitely.
It is also clear that under the prevailing assumptions, a selection equilibrium must display most of the significant properties of the orthodox equilibrium. All firms in the industry must be breaking even; otherwise one or more firms will be probabilistically ex panding or contracting. P must equal cˆ + r. Price cannot be less than cˆ + r; under such conditions no firm can possibly be breaking even. Price cannot be greater than cˆ + r; otherwise, if some firm finds the best technique and the orthodox best capacity utilization rule, it can make a positive profit. Our assumptions about search guarantee that, sooner or later, some firm, if not an extant firm then a potential en trant, will find that pair of routines. If they are found under market conditions that generate a positive profit, an extant firm will proba bilistically expand or a potential entrant will probabilistically enter. And at price cˆ + r only firms with the best technique and a decision rule that calls for full capacity utilization at that price will break even; and no firm can do any better than that. Note, however, that there may be selection equilibria in which no firm follows the orthodox capacity utilization rule. If firms follow rules that yield full capacity utilization at the equilibrium price P* = cˆ + r, equilibrium will not be disrupted by the search process. It does not matter what responses the rule yields at other prices.
The remaining question is: Will the selection process move the in dustry to such an equilibrium state if it is not there initially? Our as sumptions imply that it will. The key step in the demonstration in volves showing that there is a finite sequence of positive probability state transitions leading from any initial state to an equilibrium state. By a result in F eller (1957, pp. 352-353, 364), this suffices to es tablish that, with probability approaching one as time elapses, the industry will achieve an equilibrium state. But there are some pre liminaries to be disposed of before giving the central argument.
The first thing needed is a precise characterization of the equilib rium states. By an “industry state” we simply mean the list of M firm states, where each firm state is characterized by the triple (Cit , ait, kit) of unit variable cost, capacity utIlization rule, and capacity. Call a capacity utilization rule “eligible” if it yields full capacity utilization at price cˆ + r- that is, if a[(cˆ + r)/cˆ] = 1. The finite set of possible rules contains, by assumption, at least one eligible rule -the ortho dox one. An “equilibrium sta te” is one in which aggregate industry capacity is k * = q*, such that h(q* ) = cˆ + r, and all firms with posi tive capacity have eligible capacity utilization rules and variable cost cˆ. It is easily seen that in an equilibrium state the price is c + r and the only sort of change that can occur is continuing fu tile search for profitable routines by potential entrants, so s election equilibrium prevails. In the language of the theory of Markov processes, the set E of equilibrium states is a “closed set of states”: Once a state in E occurs, all subsequent states must also be in E.
We now show that from a given initial condition, only finitely many industry states can be reached. Since there are finitely many possible routines, the only issue here is whether industry capital can increase indefinitelyi we show that it cannot. Note first that for any pair of routines (c, a) there is a capacity level K(c, a) that is the largest value of capacity k for which the relations

can both be satisified. The first relation implies that a(P/c) is posi tive; the assumption that all routines are unprofitable at sufficiently high industry output levels then implies that there is a maximum k consistent with the two relations together. As a corollary, note that in any industry state in which the aggregate capacity of firms with rou-tines (c, a) exceeds K(e, a), routine pair (c, a) is unprofi table-the possible existence of other finns producing positive output with other routines only makes it clearer that price must be too low for (c, a) to be profitable. Now consider K¯ = Max K(c, a). Consistent with the transition rules above, no finn can increase its capital to a level in excess of K¯ + Δ from any lower level. Since Δ bounds the possible capital i ncrease kt+1 – kt in a single period, the starting v alue kt for such a transition would itself have to exceed K¯. However, since the firm must have some technique (c, a) and kt > K¯> K (c, a), the firm must be unprofitable and expansion is ruled out. Finally, since no firm can increase its capital to a value in excess of K + Δ, in any specific realization of the process the capital of firm i is bounded above by Max (ki1,K + Δ), where ki1 is firm i’s capital in the initial industry state. There are, therefore, only finitely many industry states reachable from any initial state. We henceforth confine our dis cussion to this finite set of states.
It is now possible to be specific as to what constitutes a “large enough” number of firms: the number M of actual and potential firms exceeds K¯. Thus, when aggregate industry capacity is no greater than K¯, there are necessarily some firms with zero capacity -that is, some potential entrants. On the other hand, if ag gregate capacity exceeds K¯, at least one firm is making losses and searching. Either way, there is a positive probability that new rou tines with cost c and an eligible capacity utilization rule will be adopted. And all firms (extant and potential) displaying such routine pairs -which we may call the eligible firms-can retain them with positive probability for any finite period.
We now show that, given a state in which there is at least one eli gible firm, it is always possible to take, with positive probability, “a step toward” the set E of equilibrium states. The number of “steps” that separate a given state from E may be counted as kn + Ike – k*l, the aggregate capacity of noneligible firms plus the absolute value of the discrepancy between the capacity of eligible firms and k*. Clearly, over a finite set of industry states this number of steps is b ounded. Suppose that the given state is one in which price exceeds cˆ + r. Then clearly ke < k*, and a one-machine increase in capacity by an eligible firm, with no other change in firm states, is a positive probability step that reduces the distance to E. Suppose on the other hand that the state is one in which price is less than or equal to cˆ + r. The noneligible firms necessarily make losses, and if there are any such with positive capacity, a one-machine decrease in capacity by one of them is a positive probability step that reduces the distance to E. If kn= 0, this sort of step is not possible, but in this case we neces sarily have ke ≥ k*. If the strict inequality holds, a one-machine capacity reduction by an eligible firm is an appropriate positive probability step, while , if the equality holds, the given state is already in E. Iteration of this argument shows that, fro m any initial state, E is reachable by finitely many steps of positive probability under the stated assumptions on transition probabilities.
Thus, according to the previously cited passages in Feller (1957), there is probability one that E will eventually be reached .
Unorthodox equilibria. To underscore the point that it matters what rules are tried, consider what would happen if neither the orthodox rule nor any other eligible rule were included in the set of possible capaci ty utilization rules . Then orthodox equilibrium with full util i zation would be impossible, for a price high enough to induce full utilization would be more than high enough to induce firms to ex pand capacity. There might, however, be a selection equilibrium, as the fol lowing proof sketch shows.
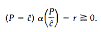
Maintain all of the assumptions of the above analysis except the assumption that at least one capacity utilization rule is eligible. For every rule a, there is a lowest price consistent with breaking even when variable cost is e-that is, a lowest price consistent with

Denote by P** the lowest such price over all possible rules a, and by aˆ the capacity utilization rate at which this minimum price is achieved . Adapting the earlier convenience assumption for dealing with the indivisibility of capital, we now assume that there is an integral value of capital, k**, that satisfies
![]()
Call a capacity utilization rule “pseudo-eligible” if it yields capacity utilization rate aˆ when P**/cˆ is the prevailing price/cost ratio. Now the argument simply follows the path of the foregoing analysis, with “pseudo-eligi ble” replacing “eligible” and p **, k**, and aˆ k** re-placing p*, k*, and q* respectively. The conclusioI n is that a selection equilibrium with capacity utilization rate a will ultimately be achieved.
4. Commentary
Even under our original assumption that the orthodox rule is among those tried, a selection equilibrium does not correspond to an ortho dox market equilibrium. Since an issue of considerable generality and conceptual importance is involved, the point deserve s emphasis. The class of “eligible” capacity utilization rules does not consist merely of the orthodox optimal rule, but includes all rules whose ac tion implications agree with those of the orthodox rule at the equilib rium ul timately achieved. Nothing precludes the achievement of a selection equilibrium in which some or all firms display eligible but nonoptimal capacity utilization rules -a proposition that follows from the observation that nothing would disrupt such an equilibrium if it happened to be achieved. Indeed, if the orthodox rule were not included in the feasible set, but other eligible rules were, neither the character of the equilibrium position nor the argument con-cerning its achievement would be affected. An example of an eligible but not optimal rule would be the capacity utilization counterpart of “full-cost pricing” a rule that would shut down entirely whenever p < cˆ + r and produce to capacity when P≥ cˆ + r.
If interest attached only to the characteristics of an equilibrium achieved by a single once-and-for-all selection process, the fact that surviving rules might yield nonoptimal behavior out of equilibrium would be of no more consequence than the fact that the rules of potential entrants might be nonoptimal if actually employed. But ortho dox theory is m uch concerned, and properly so, with the analysis of displacements of equilibrium – the problem of what happens if some parameter of t he equilibrium position changes. There is also the question, less emphasized by orthodoxy, of the characteristics of ad justment paths between equilibria. For these purposes, it matters that nonoptim al rules may survive in selection equilibrium. A change in demand or cost conditions that shak es the system out of an orthodox-type selection equil ibrium does not necessarily initiate the sort of adjustment process contemplated by orthodoxy, for the process might well be dominated by rules that produce, under dise quilibrium condit ions, actions much different from the orthodox ones. And if the orthodox rules are not included among those actu ally tried, the fact that the system achieves an orthodox-type equilib rium at one set of parameter values does not assure that the orthodox result would also be mimicked for another set. For exam ple, the capacity utilization rule “Produce to capacity only if price is at least fifteen percent in excess of unit variable cost” is not eligible if r is less than . 15cˆ.
The general issue here is this. A historical process of evolutionary change cannot be expected to “test” all possible behavioral implica tions of a given set of routines, much less test them all repeate dly. It is only against the environmental conditions that persist for ex tended periods (and in this loose sense are “equilibrium” conditions) that routines are t ho roughly tested. There is no reason to expect, therefo re, that the surviving patterns of behavior of a historical selec-tion process are well adapted for novel conditions not repeatedly en countered in that process. In fact, there is good reason to expect the opposite, since selection forces m ay be expected to be “sensible” and to trade off maladaptation under unusual or unencountered condi tions to achieve good adaptations to conditions frequently encoun tered. In a context of progressive change, therefore, one should not expect to observe ideal adaptation to current conditions by the prod ucts of evolutionary processes.
Source: Nelson Richard R., Winter Sidney G. (1985), An Evolutionary Theory of Economic Change, Belknap Press: An Imprint of Harvard University Press.
