Suppose that θ may take three possible values, i.e.,
, with
for simplicity, and with respective probabilities v, vˆ, and v¯ such that
. We denote a truthful direct revelation mechanism in this three-type environment by
. Using similar notations, information rents write respectively as
and
As a benchmark, note that the first-best outputs are respectively given by
and
.
1. Incentive Feasible Contracts
For each of the three possible types, we now have the following incentive con- straints: For the most efficient type θ,

for the intermediate type θˆ,

for the least efficient type θ¯,

As an example, let us show how (3.1) and (3.2) are obtained. We want that a θ-agent does not announce θˆ. This requires
![]()
or
![]()
Additionally, we want a θ-agent that does not pretend to be θ¯. This requires
![]()
or
![]()
The six incentive constraints (3.1) to (3.6) can be classified into two categories: local and global incentive constraints. Local incentive constraints involve adjacent types, such as the upward incentive constraints (3.1) and (3.3) or the downward incentive constraints (3.5) and (3.4). Global incentive constraints involve nonadja- cent types, such as the upward incentive constraint (3.2) or the downward incentive constraint (3.6).
To simplify the analysis and find the relevant binding constraints, we proceed in two steps. First, as in chapter 2, intuition suggests that the most efficient types want to lie upward and claim they are less efficient. Therefore, we can momen- tarily ignore the downward incentive constraints, as we did in chapter 2. We are left with the remaining upward incentive constraints (3.1), (3.2), and (3.3).
Second, the incentive constraints (3.1) to (3.6) also imply some imple- mentability conditions on the schedule of outputs. Indeed, adding the incentive constraints for two adjacent types yields q ≥ qˆ (use (3.1) and (3.4)) and qˆ ≥ q¯ (use (3.3) and (3.5)). Therefore, we get the monotonicity constraints
![]()
This monotonicity helps to further simplify the set of relevant incentive con- straints by getting rid of the global incentive constraint (3.2). Indeed, adding (3.1) and (3.3) yields
![]()
But, using qˆ ≥ q¯, the second term of the right-hand side above is greater than
. Therefore, the global incentive constraint (3.2) is implied by the two local incentive constraints (3.1) and (3.3) when the monotonicity constraint holds.
Finally, to obtain the optimal contract we will only consider the two upward local incentive constraints with the monotonicity constraint on outputs (imply- ing the global upward constraint), and we will check ex post that the downward incentive constraints are also satisfied.
2. The Optimal Contract
When this huge simplification in the set of incentive constraints is made, all rele- vant constraints for the principal are reduced to the incentive constraints (3.1) and (3.3), the implementability condition (3.11) and the least efficient type’s participa- tion constraint
![]()
The optimal contract thus solves the program (P) below:

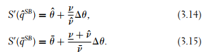
It should be clear that constraints (3.1), (3.3), and (3.13) are all binding at the optimal contract. This leads to the following expressions of the information rents,
. Substituting the rents into the objective function of problem (P), the principal must finally solve program (P’ ) below:

Proposition 3.1 summarizes the solution of the principal’s problem.3
Proposition 3.1: In a three-type adverse selection model, the optimal con- tract entails the following:
- Constraints (3.1), (3.3), and (3.13) are all binding.
- When vˆ > v¯v, the monotonicity conditions (3.11) are strictly Optimal outputs are given by
with

- When vˆ < v¯v, some bunching We still have qSB = q∗, but now
with
![]()
When vˆ > v¯v, we have a straightforward extension of proposition 2.1. The most efficient type’s production level is not distorted. Since his information rent, namely
, depends now on the production levels of all the types who are less efficient than the efficient type, those production levels must be distorted downward to reach the optimal rent extraction-efficiency trade-off. The reason for this expression of the θ-agent’s rent is that all the local upward incen- tive constraints, and only those constraints, are binding. The θˆ-agent also has an information rent,
, because he can pretend to be a θ¯-agent. This justifies a second downward distortion of q¯. Only the least efficient agent gets a zero rent U¯ = 0.
If the profile of production levels obtained strictly satisfies the monotonicity conditions (3.11), all of the other incentive constraints also hold strictly. If not, some bunching emerges, as described in the second part of proposition 3.1. Bunch- ing now arises from the conflict between the desire of the principal to implement a schedule of outputs, which is increasing over an interval when only upward incen- tive constraints are taken into account, namely qˆ < q¯, and the implementability condition, which requires the opposite monotonicity, namely qˆ ≥ q¯. Indeed, when vˆ is rather small and v is rather large, the information rent of the θˆ-type is not too costly for the principal but that of a θ-type is much more. Reducing those informa- tion rents calls for strongly reducing qˆ, but a reduction in q¯ is much less necessary. In this case, the implementability condition limits the ability of the principal to reduce the agent’s information rent and bunching emerges.
Remark: This source of bunching in a three-type model can be compared to the one arising in the case of nonresponsiveness, seen in section 2.10.2. There, the dependency of the gross surplus on h (namely S(q, θ ) with Sqθ > 1 introduced a conflict between the desire of the principal to have an output increasing in θ for pure effi- ciency reasons and the need to satisfy the implementability condition, even in a simple two-type model. In the present three-type model, the principal’s gross surplus does not depend on θ, but the probability distribution of θ is such that the virtual surplus, which is defined as
and should be maximized by the principal if only upward incentive constraints mattered, is maximized by a schedule of outputs that increases over an interval. It appears again a conflict between efficiency considerations and the implementability conditions.
Such bunching occurs in the basic model only when there are more than two types, or with a continuum.5 Remember, indeed, that it never holds in the standard two type model of section 2.3. To avoid bunching, modelers often chose to impose a sufficient condition on the distribution of types, the monotonicity of the hazard rate.
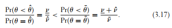
Definition 3.1: A distribution of types satisfies the monotone hazard rate property if and only if

This sufficient condition ensures that the incentive distortions on the right- hand sides of (3.14) and (3.15) are increasing with the agent’s type. The virtual costs of the different types, namely
are thus ranked exactly as the true physical costs. The virtual surplus is maximized by a decreas- ing schedule of outputs. Asymmetric information does not perturb the ranking of types.
Remark: With n types, i.e.,
, and a distribution of types such that Pr(θi) = vi > 0 for all i, the monotonicity of the hazard rate property says that
is increasing in i. In appendix 3.1, we provide the corresponding condition in the case of a continuum of types.
3. The Spence-Mirrlees Property with More than Two Types
When the local incentive constraints imply the global ones, it is sufficient to check that the agent does not want to lie locally to be sure that he does not want to lie globally. The incentive problem is then well behaved since there is a huge simpli- fication in the number of relevant constraints. It is precisely this simplification that yielded the clear analysis in the last section. This huge simplification holds for any number of types, or even for a continuum6 if the agent’s utility function satisfies the so-called Spence-Mirrlees property. Let us expand the scope of our previous analysis and assume that the agent’s utility function, which is defined over allo-cations (q, t) in
and types θ in
, writes as U(q, t, θ). In this framework, the Spence-Mirrlees property tells us that the marginal rates of substitution between output and money can be ranked in a monotonic way. The following property must thus be satisfied:

Figure 3.1: The Spence-Mirrlees Property
![]()
Economically, this property means that the indifference curves always move in the same direction as h changes. In figure 3.1 we have drawn the case where the marginal rates of substitution
, which are also the slopes of the agent’s indifference curves, are increasing with the agent’s type. At point A, where the indifference curves of a θ– and a θ¯-type cross each other, the indifference curve of the θˆ-type has the greater slope; and at point B, where the indifference curves of a θˆ-type and a θ¯-type cross each other, the indifference curve of the θ¯-type has a greater slope.
Of course, the particular objective function used in chapter 2 and section 3.1.1, namely U = t − θq, satisfies the Spence-Mirrlees property, because
.
Also, the objective function used in section 2.10, U = t − C(q, θ), satisfies this condition if Cq6 > 0 (or Cq6 < 0), because 26(u) = —Cq6.

Figure 3.2: Indifference Curves with Three Types and Where U = t − θq
Figure 3.2 illustrates why the Spence-Mirrlees property ensures that, when upward local incentive constraints are binding, global ones and downward ones are strictly satisfied. Suppose the agent is offered a menu {A, B, C} for which all the upward local incentive constraints are binding. As can be easily seen in the figure, the efficient type is indifferent between telling the truth and lying upward to θˆ, i.e., he is indifferent between contracts A and B. However, lying upward up to θ¯ would significantly reduce his utility level, because contract C is on an indifference curve with a lower level of utility than what a θ-type gets by choosing A. Hence, the θ-type’s global incentive constraint is Similarly, consider an agent with type θˆ. This agent is indifferent between telling the truth and lying upward up to θ¯, i.e., he is indifferent between choosing B and C. However, by lying downward, type θˆ would get contract A, which yields him a strictly lower utility level. The downward incentive constraint is strictly satisfied.
The Spence-Mirrless property makes the incentive problem well behaved in the sense that only local incentive constraints need to be considered. At a rough level, it is similar to a concavity condition in the usual maximization problems. As for a concavity condition, the optimization of the agent’s problem is obtained by looking at the benefits of local changes away from his truthful report strategy as global changes are certainly dominated. The analysis of incentive problems satisfying this property is very similar to that developed in chapter 2.
When the Spence-Mirrlees property holds, the analysis of chapter 2 can also be easily extended to the case of a continuum of types [θ, θ¯], which is what we do in appendices 3.1 and 3.2. If it is not satisfied, the analysis of the continuum case becomes quickly untractable, and the study of the finite-type case requires that we consider all combinations of binding constraints and calls very quickly for numerical methods.
Spence (1973) introduced the single-crossing assumption in his the- ory of signaling on the labor market. Similarly, Mirrlees (1971) also used a single-crossing assumption in his theory of optimal income taxation. It was called the constant sign assumption in Guesnerie and Laffont (1984). Araujo and Moreira (2000) provided an analysis of optimal contracts in which the Spence-Mirrlees property may not be satisfied and types are distributed continuously. Matthews and Moore (1987) provided an extensive study of the set of incentive constraints in the case where this Spence-Mirrlees property may not hold. They also solved an example.
Source: Laffont Jean-Jacques, Martimort David (2002), The Theory of Incentives: The Principal-Agent Model, Princeton University Press.
