The previous section has shown how a deterministic but type-dependent participa- tion constraint could perturb the standard results on the optimal rent extraction- efficiency trade-off. We now perturb the agent’s participation constraint in another direction, by allowing some randomness in the decision to participate. Instead of the agent’s reservation utility being perfectly known, let us consider a risk-neutral agent with a random participation constraint,
![]()
and
![]()
We assume that s˜ is drawn from the interval
, centered at zero with a cumulative distribution function G(ε). We denote by g(ε) = G‘(ε) the density of this random variable.
The motivation for such a stochastic specification of the reservation utility levels is that the agent might have some random opportunity cost of accepting the contract proposed by the principal and that this cost is already revealed to the agent at the time of contracting, even if the principal has no ability to screen this information. Alternatively, the agent may be facing a whole set of possible trad- ing opportunities outside of his relationship with a given principal. Those trading opportunities yield a random profit ε˜ to the agent. Implicit here is the idea that the principal competes with other principals who have unknown characteristics. However, this competition is still modeled as an exogenous black box.
In this model, the incentive constraints for both types remain, as usual,
![]()
and
![]()
A deterministic incentive-feasible contract
is accepted by both types if and only if (3.69) and (3.70) both hold. Acceptance is now a random event. A priori, both types only accept the contract with some probability, which is G(U ) for the θ-type and G(U¯) for the θ¯-type. To simplify the analysis, we will assume that ε¯ is small with respect to Δθq¯. This assumption will imply that G(U) = 1, and only the inefficient agent might not participate with some strictly positive probability 1 − G(U¯). The optimal contract must solve the program below:

On top of the usual concavity of S(·), assuming that
is increasing with ε ensures the quasi-concavity of this program. Its solution is then described in the next proposition. It is indexed by a superscript R that means random partic- ipation.
Proposition 3.3: Assume random participation constraints, but also that ε¯ is small enough. Then the optimal contract entails:
- The incentive constraint of the efficient agent (3.71) is binding.
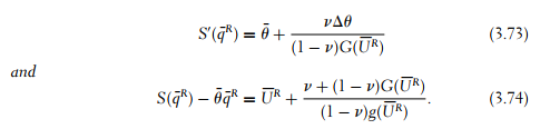
- The rent U¯R and the output q¯R of an inefficient agent are determined together as the solutions to

Two important remarks should be made at this point. First, since an inefficient agent trades with the principal with a probability of less than one
, the principal finds it relatively more likely that he will face an efficient agent on the condition that trade is being carried on. Hence, the principal is more willing to distort the inefficient agent’s output downward to reduce the relatively high expected cost of the efficient agent’s information rent. Indeed, q¯R defined by (3.73) is more distorted than the usual second-best distortion q¯SB obtained with an exogenously given zero participation constraint.
Second, the principal chooses a level of the inefficient agent’s rent U¯R that trades off the marginal gain of inducing slightly more participation by this type against the marginal cost of this extra participation. The marginal gain of increasing the rent by dU¯R is precisely the net total surplus
times the increase in probability that the inefficient agent chooses to participate, namely
. The marginal cost takes into account the fact that this extra rent dU¯R has to be given to all participating agents, i.e., both the efficient one who trades with probability of one and also the inefficient one who contracts with a probability of only G(U¯R) less than one. The cost is thus
. The marginal benefit is equal to the marginal cost when (3.74) holds.
It is interesting to note that the output q¯R converges towards q¯SB defined in (2.28) as ε¯ goes to zero. In this case the random participation constraint almost becomes the usual deterministic participation constraint with zero reserva- tion value.
Finally, the generalized monotone hazard rate property, namely
increasing in s, guarantees that U¯R is strictly positive when
To induce a relatively more likely participation, the principal must a priori give to the inefficient agent a strictly positive rent. Lastly, the probability that the ineffi- cient type participates is strictly lower than one when
, where q¯SB constraint.
Rochet and Stole (2000) provided a complete analysis of a model with random participation constraints and a continuum of types. In such a setting, they also looked at the interesting case of competition among principals.
Source: Laffont Jean-Jacques, Martimort David (2002), The Theory of Incentives: The Principal-Agent Model, Princeton University Press.
