One often heard criticism of incentive theory is that it takes information structures as given. A more complete view of organizational design should account for the endogeneity of these information structures. To investigate these new issues, we now assume that the agent does not know his type a priori but can decide or not to acquire information about his type at a cost c. Results depend on the precise, extensive form of the game representing the sequence of events and, in particular, on when information is acquired. We outline the timing in figure 9.8.
Note that, at date t = 6, the agent reveals the information he has learned, if any. The principal can decide to offer contracts that induce or do not induce information gathering by the agent, at a strictly positive cost c.

Figure 9.8: Timing of the Contractual Game with Endogenous Information Structures
If the principal was not delegating the tasks of production and information gathering, he would choose to invest in information gathering when

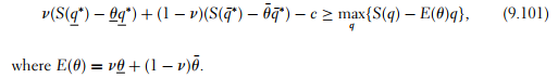
To implement this outcome with delegation, the principal can offer a non- linear schedule t(q) = S(q) — T*. With such a schedule, the risk-neutral agent is made residual claimant for the hierarchy’s profit. When choosing to become informed, the agent produces q∗ and q¯∗ in the different states of nature. Informa- tion gathering thus occurs whenever
![]()
which is equivalent to (9.101).
Finally, when (9.101) holds, the principal fixes T ∗ to reap all ex ante gains from trade and ![]()
Let us now envision the case where the risk-neutral agent has limited liability so that making him residual claimant for the firm’s profit is impossible.
We denote a direct revelation mechanism by
. The usual incen-tive constraints,

should hold when the agent decides to learn information.
The following ex post participation constraints must also be satisfied:

Moreover, the agent must choose to participate at the ex ante stage, i.e., the following participation constraint must be satisfied:
![]()
The agent decides to acquire information when
![]()
or, expressing the right-hand side as a function of U and U¯,
![]()
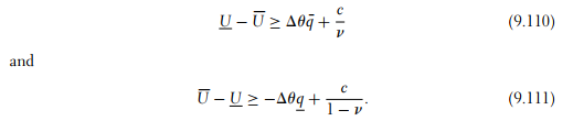
One can rewrite this latter inequality as a pair of inequalities,

The set of possible values of U and nonempty when U¯ satisfying (9.110) and (9.111) is
![]()
When he wants to induce information gathering, the principal’s problem is

First neglecting the implementability condition (9.112) and the ex ante par- ticipation constraint (9.107), which turns out to be satisfied at the optimum, the binding constraints are (9.106) and (9.110), which is more costly than (9.103). The optimal outputs are thus
, where the superscript IG means information gathering. Outputs are thus equal to their second-best levels as long as the implementability condition in (9.112) holds, i.e.,
![]()
As c increases, the latter constraint becomes binding in order to induce infor- mation gathering, and both outputs are distorted away from their second-best values without information gathering.
If the principal does not induce information gathering, satisfying the ex post participation constraint of the agent requires
, and the optimal output chosen by the principal is q¯*. This yields an expected payoff V 0 =
.
In the first regime, where (9.113) holds, the principal wants to induce infor- mation gathering when
![]()
Of course, this inequality holds when c is small enough.
Crémer, Khalil, and Rochet (1998) offered a similar analysis when the agent accepts or rejects the contract after the information gather-ing stage and there is a continuum of possible types. They also reviewed the recent literature. Kessler (1998) analyzed a similar model with only two types. Lewis and Sappington (1991, 1993, 1997), Crémer and Khalil (1992), and Mezzetti and Tsoulouhas (2000) also presented models where information gathering takes place before the signing of the contract.
Source: Laffont Jean-Jacques, Martimort David (2002), The Theory of Incentives: The Principal-Agent Model, Princeton University Press.
