In developing stochastic process models of organizational foundings, the conceptual unit of analysis is obviously not the individual organization whose appearance is observed. Rather, the unit of analysis, the unit in which the foundings take place, is the population. Detailed information on foundings tells the times at which increments to the population take place. The data structure for analyzing foundings differs somewhat from the case for mortality analysis, in which the previous history of the individual organization can be taken into account. There is no previous history for a new organization. Thus, the range of relevant covariates in the analysis of founding rates includes only properties of the environment and of the population.
The situation is actually more complicated than just described. If one wishes to study the appearance of a new population, then the population cannot be the unit of analysis. In such cases, the larger environment or social system is the relevant unit within which founding processes occur. Thus we can follow two approaches in empirical analysis: (1) treat the social environment as the unit and analyze the timing of first and subsequent foundings of each type of organization; and (2) condition on the appearance of the first organization of a type and analyze the timing of subsequent foundings within the population (see also Amburgey 1986). The first approach, which we call system-level analysis, is the natural one for addressing questions pertaining to the rise of new kinds of variability. The second, which we call population analysis, is the natural one for analyzing effects of composition of the population of founding rates.
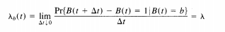
For both kinds of analysis the state space of the stochastic process is the set of non-negative integers that count the number of foundings. The cumulative number of foundings observed by historical time t, denoted by Bt, is assumed to be a nondecreasing stochastic process that possesses the property of regularity (no more than one founding in any instant).
One of the things that differs for these two forms of analysis is the nature of the time index of the stochastic process. In population analysis, which conditions on the time of the first founding, the starting time of the process is nonarbitrary; the duration until the “first” event (which is really the founding of the second organization) has direct substantive interpretation. But how do we assign a starting time of the process in the case of system- level analysis? For example, at what point does the United States become meaningfully “at risk” of giving rise to the first national labor union? Any answer to this question seems at least partly arbitrary. Luckily, the situation is not always so complicated. For example, in the case of semiconductor manufacturers (or any other kind of firm whose form is defined in terms of a particular product or process), it is meaningful to assume that the invention of the technology for producing semiconductors begins the process. The length of time from invention (or perhaps licensing) of the product or process until the first founding of an organization specialized to using it is a substantively meaningful quantity.
The subsequent discussion assumes that the start of the process is known and is not arbitrary. This means that we assume that the time scale has substantive meaning at all points. In discussing particular analyses in later chapters we consider cases in which this assumption is not appropriate.
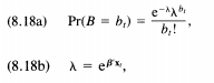
The founding process we have been discussing is an instance of a widely studied class of processes known as arrival processes. Such processes count the number of arrivals to some state, such as events of radioactive decay, arrivals to a waiting line, cell divisions, and births. The natural baseline model for arrival processes is the Poisson process. This process assumes that the rate of arrival is independent of the history of previous arrivals (including the time of the last arrival) and of the current state of the system. Among other things, this assumption implies that the arrival rate for the second event does not differ from that of the third event or of subsequent events. That is, the order of the event does not affect the arrival rate. If the rate at which new organizations arrive in the population (or environment) follows a Poisson process, then the founding rate is a time-independent constant. That is, the rate of arriving at state b + 1 at time t is
![]()
under the assumptions of a Poisson process. In other words, the rate does not vary over time or with other factors.
Our theoretical arguments suggest that the Poisson model is too simple for the founding process. We build models that incorporate time dependence and the effects of explicit causal factors into empirical models of founding rates. In general, we use the same strategies outlined in the previous section for introducing the effects of covariates and time dependence into the rate of the counting process. That is, we use models of the form:
![]()
in order to explore the effects of measured covariates on the rate in a model in which the baseline distribution of event times is exponential. Then we compare the fit of Weibull and generalized gamma models, as discussed earlier.
Because our data on foundings and entries come in two forms (mixtures of exact dates and approximate dates for unions and only yearly counts for semiconductor manufacturing firms), we actually analyze generalized Poisson models in two ways. In one, we treat the dates of founding as exact and use the durations between foundings to estimate rates and effects of covariates on rates by maximum likelihood and partial likelihood (see the following section). In the second, we treat the data as yearly counts resulting from a Poisson process and use methods of “Poisson regression.” That is, we estimate the parameters of models of the form:

where bt is the number of events (foundings) that occur in year t
Source: Hannan Michael T., Freeman John (1993), Organizational Ecology, Harvard University Press; Reprint edition.
