Our system of equations may also indicate competition between parts.
The simplest possible case is, again, that all coefficients (aj#i)= 0, — i.e., that the increase in each element depends only on this element itself. Then we have, for two elements:

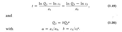
Eliminating time, we obtain:

This is the equation known in biology as the allometric equation. In this discussion, the simplest form of growth of the parts —viz., the exponential—has been assumed (3.17 and 3.18). The allometric relation holds, however, also for somewhat more complicated cases, such as growth according to the parabola, the logistic, the Gompertz function, either strictly or as an approximation (Lumer, 1937).
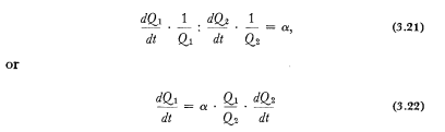
The allometric equation applies to a wide range of morphological, biochemical, physiological and phylogenetic data. It means that a certain characteristic, Q1; can be expressed as a power function of another characteristic, Q2. Take, for instance, morphogenesis. Then the length or weight of a certain organ, Q1 is, in general, an allometric function of the size of another organ, or of the total length or weight of the organism in question, Q2. The meaning of this becomes clear if we write equations (3.17) in a slightly different form:

Equation (3.21) states that the relative growth rates (i.e., increase calculated as a percentage of actual size) of the parts under consideration, Q1 and Q2 stand in a constant proportion throughout life, or during a life cycle for which the allometric equation holds. This rather astonishing relation (because of the immense complexity of growth processes it would seem, at first, unlikely that the growth of parts is governed by an algebraic equation of such simplicity) is explained by equation (3.22). According to this equation, it can be interpreted as a result of a process of distribution. Take Q2 for the whole organism; then equation (3.22) states that the organ Q1 takes, from the increase resulting from the metabolism of the total organism
, a share which is proportional to its actual proportion to the latter
. a is a partition coefficient indicating the capacity of the organ to seize its share. It a a1 > a2—i.e., if the growth intensity of Q1 is greater than that of Q2—then
; the organ captures more than other parts; it grows therefore more rapidly than these or with positive allometry. Conversely, if a1 < a2—i.e., a > 1—the organ grows more slowly, or shows negative allometry. Similarly, the allometric equation applies to biochemical changes in the organism, and to physiological functions. For instance, basal metabolism increases, in wide groups of animals, with a = 2/3, with respect to body weight if growing animals of the same species, or animals of related species, are compared; this means that basal metabolism is, in general, a surface function of body weight. In certain cases, such as insect larvae and snails, a = 1, i.e. basal metabolism is proportional to weight itself.
In sociology, the expression in question is Pareto’s law (1897) of the distribution of income within a nation, whereby
, with Q1 = number of individuals gaining a certain income, Q2 — amount of the income, and b and a constants. The explanation is similar to that given above, substituting for “increase of the total organism” the national income, and for “distribution constant” the economic abilities of the individuals concerned.
The situation becomes more complex if interactions between the parts of the system are assumed—i.e., if aj#i # 0. Then we come to systems of equations such as those studied by Volterra (1931) for competition among species, and, correspondingly, by Spiegelman (1945) for competition within an organism. Since these cases are fully discussed in the literature we shall not enter into a detailed discussion. Only one or two points of general interest may be mentioned.
It is an interesting consequence that, in Volterra’s equations, competition of two species for the same resources is, in a way, more fatal than a predator-prey relation—i.e., partial annihilation of one species by the other. Competition eventually leads to the extermination of the species with the smaller growth capacity; a predator-prey relation only leads to periodic oscillation of the numbers of the species concerned around a mean value. These relations have been stated for biocoenotic systems, but it may well be that they have also sociological implications.
Another point of philosophical interest should be mentioned. If we are speaking of “systems,” we mean “wholes” or “unities.” Then it seems paradoxical that, with respect to a whole, the concept of competition between its parts is introduced. In fact, however, these apparently contradictory statements both belong to the essentials of systems. Every whole is based upon the competition of its elements, and presupposes the “struggle between parts” (Roux). The latter is a general principle of organization in simple physico-chemical systems as well as in organisms and social units, and it is, in the last resort, an expression of the coincidentia oppositorum that reality presents.
Source: Bertalanffy Ludwig Von (1969), General System Theory: Foundations, Development, Applications, George Braziller Inc.; Revised edition.
