In section 4.7, we reported the Fama (1980) argument according to which the labor market acts as an incentive instrument and provides managers with incentives to exert optimal effort levels. Indeed, managers want to influence the perception that the market has on their productivity. According to this argument, this desire for good reputation should induce them to perform efficiently and therefore explicit monetary incentives might not be needed. Of course, this argument requires a dynamic model with both a moral hazard ingredient and a signaling ingredient, because the labor market tries to infer the managers’ abilities from their past per- formances.

Figure 8.5: Timing with Implicit Incentives
Let us sketch such a model. The risk-neutral agent may be of two possible types (or abilities) θ in
, with respective probabilities 1 − ν and ν. For simplicity, we assume that θ¯ = 1 and thus 1 > θ.
There are two periods t = 1 and t = 2 and no discounting. The agent’s output in each period qi may take two possible values q and q¯ with respective probabilities θπ(ei) and 1 − θπ(ei), where ei is the agent’s effort in period i. These outputs yield, respectively, the benefits S¯ and S to the principal employing the agent in any period. As usual, we denote
The agent’s effort ei may be either 0 or 1 with the usual normalization ψ(1) = ψ and ψ(0) = 0.
We assume that there is perfect competition between alternative principals to attract the agent in period 2. Moreover, a first important assumption of the model is that neither the manager nor the principals are informed of the ability of the manager. A second important assumption is that the principals cannot write contracts conditional on the production level. The idea here is that the production level is observable but not contractible. Accordingly, the first-period wage is a fixed wage t1 while the second-period (fixed) wage can depend on past observation t2(q1).
The timing of the model is the one shown in figure 8.5.
Let us start with a benchmark—the case where the agent’s effort in each period is observable but his ability remains unknown for both the market and the agent. In this case, the agent exerts a high effort in the first period when
![]()
This formula is the traditional first-best comparison between the benefit of exerting effort and its cost.20 However, the information on the agent’s productivity is still incomplete, and this criterion must be applied to the average productivity of the agent.
Remark: Note that the first-best outcome can still be achieved if the principal cannot observe effort but can use explicit incentives with a wage linked to the agent’s performance. Indeed, making the risk-neutral agent residual claimant for the profit of the organization achieves the first-best outcome.
Suppose now that effort is nonobservable. We solve the game backward. At date t = 1.5, the agent does not exert any effort, e2 = 0, because the labor market offers only a fixed wage independent of the realization of q2.
Because of perfect competition among principals, in period 2 the fixed-wage t2(q1) is such that

where νeˆ(q1) is the posterior belief held by the market on the agent’s ability after the first-period output has been observed. We make these posterior beliefs explicitly dependent on eˆ, the market’s conjecture about the first-period effort.
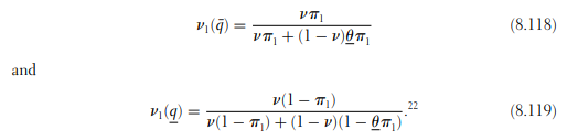
It is easy to compute this posterior belief by using Bayes’ rule. If the labor market expects that the agent exerts a high effort eˆ = 1 in the first period, these posterior beliefs are written respectively, as

The agent’s incentive constraint that needs to be satisfied in order to induce a high effort in the first period is finally written as
![]()
Using (8.117) to (8.119), this condition is rewritten as
![]()
The comparison of (8.116) and (8.121) is straightforward. The term (ν(q¯) − ν(q))(1 − θ)π0 is strictly lower than one, and thus (8.121) is a more stringent condition than (8.116). It is thus harder to incentivize the agent through his desire to build a reputation vis-à-vis the labor market than if he can receive explicit monetary incentives.
Proposition 8.7: Implicit incentives can only be imperfect substitutes for the explicit monetary incentives obtained with a wage linked to per- formance.
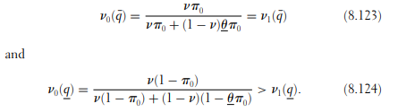
Remark: When (8.121) holds, the rational expectation equilibrium we have isolated induces the agent to exert effort, because the mar- ket expects this effort and rewards the agent accordingly. It is easy to see that there may exist another rational expectation equilibrium where the market anticipates the fact that the agent exerts no effort and offers second-period wages that fail to incentivize the agent in the first period.
To ensure that such an equilibrium with a low effort exists, it must be that
![]()
where ν0(q¯) and ν0(q) are respectively given by

Hence,
, and one can find param- eter values of ΔS and ψ, such that (8.121) and (8.122) both hold simultaneously.
This multiplicity of equilibria points to another reason why implicit incentives fail to replace efficiently explicit incentives.
Holmström (1999a) was the first paper to formalize career concerns. Contrary to our model, he assumes a continuum of effort levels, a continuum of performances, a continuum of abilities both normally dis- tributed, and an infinitely repeated relationship. The agent’s observable output writes as y = θ + e + ε, where θ is ability, e is effort, and s is some noise. He first shows that the agent’s effort in the unique rational expectation equi- librium is declining over time. As time passes, the agent’s ability gets better known by the market and the agent can no longer affect the perception of the market on his ability by exerting effort. To avoid this phenomenon, Holm- ström assumes that ability varies over time but with some positive correlation. Dewatripont, Jewitt, and Tirole (1999a) compare various information struc- tures with implicit incentive schemes. Dewatripont, Jewitt, and Tirole (1999b) also propose applications of this framework to incentives in the public sector and stress the existence of multiple equilibria. Gibbons and Murphy (1992) analyze the interplay between explicit and implicit incentives and provide some empirical background on the career concern model. Other nice applica- tions of the implicit incentives paradigm are McLeod and Malcomson (1988b) and Meyer and Vickers (1997) for multiagent organizations. Gibbons (1997) provides an overview of the literature.
Source: Laffont Jean-Jacques, Martimort David (2002), The Theory of Incentives: The Principal-Agent Model, Princeton University Press.
