In the preceding analysis, there were only two techniques and one variable input (labor). We now generalize the analysis to consider se lection on many techniques, each involving many variable inputs. We preserve the other assumptions above, including that all tech niques have the same capital-output ratio, and that relative expan sion or contraction of use of a technique is proportional to unit profit using that technique. There are two kinds of complications to the earl ier analysis that need to be considered . First, selection no longer can be characterized as the growth of one technique relative to a single other, but rather involves a more complex expression of changing weights. Second, with more than one variable factor of production, the fact that one technique uses less of one input per unit of output than does another technique no longer is decisive, but rather the relative advantage of different techniques depends on all the input coefficients (aij) and on factor prices.
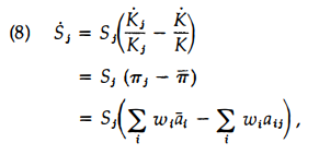
Profit (over and above the normal return to capital) using technol ogy j n ow is

If the amount of capi tal employing technique j is Kj , the industry’s overall profit rate is

where Sj = Kj/K. If the rate of net investment in a technology is equal to excess returns, then

where ai is the industry average coefficient for input i.

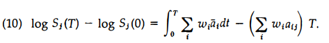
Integrating from zero to T gives

Define
, an expression that depends on all the w’s, the a’s, and initial conditions.

Assume that, given factor pri ces , technique j is the unique most profitable technique. Then for T > 0, a(T) > (∑wiaij)T unless Sj(T) = 1. But then Sj(T) goes to one as T goes to infinity. If there are other techniques that tie technique j regarding profitability, the sum of the weights on the set of most profi table techniques approaches one as time progresses.
Given the selection process as characterized above, it is possible to analyze what happens over time to the quantity of any input per unit of output for the industry as a whole.

If there is a single dominant technique, the industry average input coefficient approaches its coefficient; if there is a set of dominant techniques, the industry average approaches some average of these. Given the assumptions of constant returns to scale and constant factor prices, there is a dominant technique or set of techniques in this model whose identity (or identities) does not change over the se lection traverse. None of the problems pointed out in Chapter 6 plague the selection mechanism.
However, in the model of this section, in contrast with the simpler version set forth earlier in the chapter, the identity of the least-cost technique or techniques is sensitive to factor prices. What is the ef fect upon the selection path, and on its ending point, if the price of one factor (say, labor) j umps? Alternatively, what about chan ges over time in the average industry labor input coefficient under two dif ferent regimes where, after common initial conditions, the wage rate is higher in one than in the other? From virtually all the analyses pre sented thus far in this book, one is led to conjecture that the standard conclusion would hold in the selection model. With some slight com plications, it does.

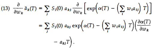
To evaluate this expression we note that

Differentiating the identity with respect to Wk yields

Thus,

Substituting in equation (13):

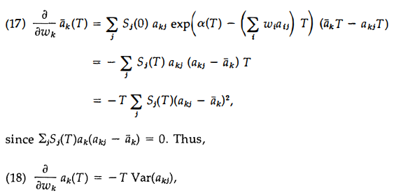
where Var(akj) is the share-weighted cross-sectional variance of akj at time T. The value of ak(T) varies inversely with wk if there is positive variance.
The standard conclusion applies, of course, only when there is a positive variance. If, at the moment of the increase in the price of labor, all but one technology already have been eliminated, then an i ncrease in the price of labor can have no effect. Of course, in this model no technique initially in the set is ever completely eliminated; however, if initially only one technique employs nonnegligible capi tal, it will take a long time for any change in factor prices to have a noticeable effect.
If there initially are several technologies with positive capital with one of these ultimately dominant, and if the change in factor prices does not change the dominant t echnology, then the variance ap proaches zero as T approaches infinity . An increase in the price of labor then speeds up or slows down the rate at which the dominant technolo gy takes over, depending on whether that technology has, respectively, a lower than average or higher than average labor input coefficient. The time path of the industry labor input coefficient is in fluenced, but not the limiting value of the coefficient, as T ap proaches infinity.
If a change in factor prices changes the dominant technology or, m ore generally, modifies the dominant set, there is a discontinuity at that point in the function relating the asymptotic input coefficients as T approaches infinity to the factor prices. Thus, assume that initially techniques with di fferent input coefficients are all cost-minimizing.
Then Var(akj) does not tend to zero and, at that Wk ,

We can complicate the model slightly to admit the possibility that techniques may be operable with different mixes of variable factor inputs. Assume that each technique is associated with a neoclassical isoquant, and that for any set of factor prices the firms using a t ech nique cost-minimize. Let Φj(w) be the minimized unit variable cost of technique j. Then
![]()
All the analysis goes through as before, with Φj(w) replacing ∑wjaij , and
. In analyzing
, duality theory assures that this expression equals akJ, as before.
Of course, an additional term is i nvolved in analysis of the effect of changing prices on industry input coefficients.

Thus, there are along.:. the-rule effects as well as selection effects.
Compared with the modeling of Chapter 9, the analysis in this chapter has been highly simplified and stylized. The gain was ability to explore analytically certain properties of the model that, in the most complex version, could only be studied by simulations. Thus, in the two-technologies model, it was possible to derive analytically an expression for the time path of productivity and the factors on which it depended. In the model incorporating many technologies and many variable inputs, it was possible to analyze the effect of a change in factor prices on the time path of average industry input coefficients.
Which is the more appropriate level of abstraction -that of the simulation model or that of the models in this chapter? We do not think this is a useful question. Both are appropriate, each for the dif ferent kinds of understanding they lend. Both are appropriate be cause the understanding gained in one often helps to illuminate questions about the other.
Source: Nelson Richard R., Winter Sidney G. (1985), An Evolutionary Theory of Economic Change, Belknap Press: An Imprint of Harvard University Press.
