The two-technology model would seem appropriate to the study of the processes by which a particular new technology replaces an older one within an industry, and of the associated effects of this on such industry variables as productivity. A large number of empirical studies have been concerned with the first part of this question: Gri Uches (1957) analyzed the diffusion of hybrid corn, Mansfield (1973) examined the diffusion of a wide variety of new manufacturing pro cesses, and so forth. The effects of diffusion on such variables as pro ductivity and factor shares have been less stud ied, and there is vir tually no work that has attempted to tie together analysis of diffusion patterns and productivity changes. The model that will be developed here is well suited for this purpose.
Our model has been designed for stu dying certain important as pects of the processes involved in economic development of low income countries. The problem can be posed as follows . A striking feature of the international economic landscape is the great disparity among countries in levels of per capita income, which largely reflect differences in output per worker. One of the key tasks of economic development theory is to explain these differences and in particular to facilitate understanding of why productivity in the low-income countries is so far below the level in high-income countries. Answer ing this question would appear to be a necessary precursor to answering a question of more direct policy concern: How can the rate of growth of income in the currently less developed countries be effectively augmented? The central questions of economic develop ment theory are similar to those of the theory of economic growth in high-income countries, which were discussed in the preceding two chapters. What differentiates the economic development problem from the general economic growth problem is that the more produc tive technologies that the less developed country will be adopting in the course of its development are (usually) known and have been em ployed before in other (high- income) countries.
As was the case with respect to post-World War II theorizing about processes of economic growth in advanced countries, econo mists interested after the war in economic development problems (after a brief flirtation with models that assumed fixed coefficients in production) reached into the tool kit of neoclassical microeconomic theory for their analytic ideas. The attempt was to explain differences in output per worker between low- and high- income countries as representing different points along a common production function. High-income countries simply had more capital per worker than low- income countries. To the extent that this is the appropriate explanation for productivity and income differences, the prescription for development follows immediately : productivity will grow as the capital-labor ratio is increased.
A considerable volume of research was guided by these theoretical ideas. Since adequate measures of the capital stock in less developed countries seldom were available, various proxy measures for capital and other fac tors believed associated with labor productivity had to be used in the empirical research. That research did verify some qualitative aspects of th e theory. However, relatively early in the game a problem became apparent, analogous to that which signaled the importance of technical change in the work guided by neoclas sical growth theory. If the normal assumptions about the shapes of production functions are made, it is highly dubious if not theoreti cally impossible that differences in the quantities of capital and other complementary factors of production per worker can explain the whole, or even the bulk, of differences across countries in productiv ity levels. The analytic problem was depicted in Figures 8.1 and 8.2. The high- income countries possess more capital and other inputs per worker than do low-income countries, but they also seem to be operating on a “higher” production function.
This discovery not only undermined the neoclassical explanation of differences across countries, but it also signaled that the neoclas sical characterization of the development process was at best incom plete. A good part of that process seems to involve less developed countries learning about and adopting the superior (as well as more capital- intensive) technologies of the more developed ones.
An evolutionary approach to development theory seems called for. From an evolutionary perspective economic growth in any economy, developed or less developed, would be viewed as a disequilibrium process involving a mix of finns employing different vintages of technologies. Over time, these mixes change. In the more developed countries, new technologies enter the mix as invention occurs. In the less developed countries, new technologies enter the mix as the tech nologies of high-income countries are borrowed. At any time, dif ferences across countries can be explained by differences in the mixes of the technologies used, as well as by factor proportions .
Using this interpretation, there are several different reasons for the fact that there is no worldwide production function of a simple neoclassical sort. One is that new technology needs to be embodied in new, specially designed equipment, and the capital stock of the less developed countries is older than the capital stock of advanced countries; the relative mix of technologies in a country reflects the relative importance of new capital compared with old. A second reason is that it takes time for labor in a less developed country to acquire the skills to operate modern technology; thus, the use of mod ern technology is constrained by skill shortages as well as by limita tions on physical investment. Both of these propositions are consist ent with a worldwide production function involving a large number of inputs of closely specified characteristics.
Although the above almost certainly are part of the reason why it has proved impossible to explain productivity differences am ong countries in terms of different points along a simple production func tion, there is much more to it. It is time-consuming and costly for a firm to learn about, and learn to use, technology significantly dif ferent from that with which it is familiar. Further, firm s will differ in their awareness, competence, and judgments in choosing to adopt or not adopt n ew techniques.
Let us play out the metaphor sketched above as a model of unequal economic development across economies. The specific as sumptions are as follows. The phenomena of interest are the paths of outputs, inputs, and factor prices in an economy as a whole or an im portant sector (say, manufacturing), and differences in these across countries. There is an old technology, characterized, as technologies were in the preceding chapter, by constant returns to scale and fixed coefficients . There is a new technology as well. In comparison with the old technology, it is characterized by higher output per worker but the same output per unit of capital. Note that at any set of factor prices, unit costs are lower and the rate of p rofit on capital is higher if the new technology is employed rather than the old one. As in the preceding chapter, expansion or contraction of capital is assumed to be proportional to revenues minus wages minus required dividends, all per unit of capital. In this model we repress the identity of firms using particular technologies; it is the technologies (or rather the capital embodying them) that are viewed as expanding or con tracting.
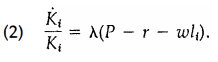
Imagine a country in which the bulk of economic activity employs the old technology, but in which there is some use of the new tech nology. Within this model, the great development traverse can be characterized as follows. At any time, labor input per unit of output in the economy or sector will be the weighted average of labor input per unit of output in the two technologies, the weights being the proportion of output produced by each of the technologies. Given the assumption that the capital-output ratios of the two technologies are the same, these weights are the same as the fractions of capital embodying the technologies. Let unit labor input using the new technology be l2 = al1 (with a < I), and K1/K and K2/K denote the fraction of capital embodying the old and the new technologies. Then:

The assumptions about investment, then, can be formalized as follows. Let the price of the product be P, and the (common) capital-output ratio be one. Assuming that there is no depreciation and that investment is proportional to excess profits :

where r is the cost of capital services and w is the wage rate .
In general, w will not be assumed constant over the course of the traverse but will itself evolve. We assume that at the start of the tra verse (where virtually all capital is in the “old” technology), ag gre gate capital, labor supply, and the resulting wage w are at levels such that the old technology just breaks even. Then the new technology must be making a profit and expanding.
It is apparent that for the system to reach a new equilibrium, either the price of the product must fall or w must rise (or some com bination of these must occur). In an industry or sectoral model it would be natural to complete the specification above by postulating a strictly downward sloping demand curve for the product of the in dustry, and by assuming that the wage rate is constant or is subj ect to an autonomous d rift. When the focus is on pervasive develop mental processes and the sector in question is viewed as comprising a large share or even all of economic activity, it is more natural to complete the model along the lines employed in the preceding chapter. The product itself is taken as the numeraire; hence, its price is constant. There is an upward- sloping labor supply curve :
![]()
Thus, it is wage rate increases that bring the system back into equi l ibrium. This is the analytic route taken here. For expositional sim plicity, we w ill assume a constant population and an upward-sloping supply curve that does not shift over time. The analysis easily can be augmented to admit a growing labor force, although then the equi librium concept is somewhat different.
In any case it is easy to see that, in the new equilibrium, output per worker has risen from the level associated with the old technol ogy to that associated with the new. The capital-output ratio has re mained constant over the traverse; thus, the capital-labor ratio has been rising and ultimately achieves the level associated with the new technology. If the price of capital services remains constant, capital’s share (as well as that of labor) is the same in the new equilibrium as in the old. All this is obvious .
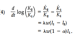
What is interesting about this model is what it tells us a bout the path to the new equilibrium and the characteristics of the industry (or the economy) along the path. The relative importance of the old and the new technologies will be changing as follows :

The rate of growth of K2/K1 (and of Q2/Q1 ) will be greater, the greater is λ, and the greater the productivity of labor using the new technology relative to the old. If there were no change in w over the traverse, K2/ K1 and Q2/ Q1 would trace out a logistic curve. With a rising w, the rate of t akeover of the new technology would exceed that predicted by a logistic curve. The path of output per worker would be similar at the start of development: it would rise slowly, then accelerate, then slow again as its new higher equilibrium is approached.
What will be happening to factor prices and shares? Given the as sumptions of the model, in the new equilibri um the share of capital must be the same as it was in the old equilibrium. The capital-output ratio is the same in the new technology as in the old one; hence, if the return to capital is to equal the price of capital services (a neces sary condition for equilibrium), equilibrium defines a unique share for capital. In the new equilibrium, the wage rate has grown in pro portion to the growth in productivity over the traverse, and labor’s share is the same as it was initially. However, in the course of the disequilibrium travers, capital’s share will be above its equilibrium rate if the returns to capital are defined to include quasi-rents. During the diffusion process, positive quasi-rents will be made by the sector employing the new technology and pulling its expansion, and negative quasi-rents by the subs ector employing the old tech nology and forcing its contraction. But if there is net growth of capi tal during development (and there will be, relative to labor), the former will outweigh the latter.

Notice that the quasi-rents (the second term of the equation above) will be largest when capital and output growth are most rapid.
Let us now shift attention away from development within a partic ular country and focus, instead, on a cross-section of countries. Some started development (in the sense of adopting the “new technology”) earlier than others, or developed more rapidly. In these the “old” technology has been almost entirely eliminated. In others develop ment started late or has proceeded slowly; in these a sizable fraction of economic activity still involves the old technology. In the “less developed countries” average productivity is lower, and so is the average wage rate. The capital-labor ratio is lower, but almost any neoclassical analysis also would show differences in levels of “total factor productivity.” In the less developed countries, one would find considerable dispersion among firms in productivity levels, wage rates paid, and profitability. Furthermore, capital’s share is likely to be larger in t he less developed countries than in the more developed ones, mainly reflecting the presence of large quasi-rents in that part of the economy employing the modern technology. In fact, this is not a bad characterization of a number of the more s alient differences between the less developed countries of today and the a dvanced ones.
Source: Nelson Richard R., Winter Sidney G. (1985), An Evolutionary Theory of Economic Change, Belknap Press: An Imprint of Harvard University Press.
