If communication among organizations is a necessary ingredient for achieving coordinated behavior, then vehicles which facilitate information exchange are likely to arise in the organizational field. One such mechanism for achieving coordination among organizations through a sharing of information and resource commitments is the joint venture. The term “joint venture.” sometimes also referred to as a joint sub- sidiary, refers to the creation of a new organizational entity by two or more partner organizations (Boyle, 1968). We can refer to the creating. organizations as the parents and the created organizations as the progeny. The joint venture involves the creation of a new, separate, organizational entity, jointly owned and controlled by the parent organization^ This new entity can incur debt, sign contracts, or undertake other activities in its own name and without consequence to the fi-> nancial or legal position of the parents, except, of course, for their investment in the joint venture. The Arabian-American-Oil C.nmpany (ARAMCO), formerly owned jointly by theSaudi Arabian government and four large oil companies, is an example of a joint venture. Bernstein (1965) distinguished joint ventures from mergers by noting that in joint ventures, only a portion of the parent companies’ assets are pooled, while in a merger, complete pooling of assets takes place. However, Mead (1967) has argued that there is little significance in the distinction between joint ventures and mergers.
The joint venture permits the exchange of information between the parent organizations in the following ways. First, the joint venture may be staffed by top executives drawn from the various parent firms. Thus, since these executives obviously retain their contacts with the – parent organizations, the joint venture becomes a forum in which executives from interdependent firms can meet. More important, the management of the joint venture requires the setting of price and the establishment of production targets and product policies which axe similar to decisions that must be made in the parent organizations. If the joint venture is created in the same industry as the parent firms, it is unlikely that it will compete with them. Further, executives from the parent firms will be jointly involved in making decisions on pricing and production policies. It has been judicially recognized that in such a setting, the zeal of competition if it existed among the parent organizations may well be reduced. Not only is there an effect of information sharing, but since assets have been pooled, the parent organizations are likely to be bound together through such commitments. Mead (1967) examined joint bidding for oil and gas leases and found that in cases of joint bidding, the same firms were not likely to bid against each other on other leases in the same sale. Mead further found that such restriction on competitive activity persisted for as long as two years after the joint action, suggesting the amicable consequences of such alliances.
There are essentially three theories to describe why two or more formal organizations form joint ventures. Each is partially correct. The first theory dprivpc from ppnnnmira Economists have argued that joint ventures may be established, to. spread the risks of new industrial developments, to establish joint or combined facilities for greater economy, to accumulate large amounts of needed capital, and to undertake programs that are too expensive for individual companies (Pate, 1969:16). Joint ventures, then, are economically justified when there are economies of scale in operation, when capital requirements axe too large for a single organization, and when there is great technological risk from the joint venture. The risk factor is the one cited to justify joint ventures in oil and gas exploration. Joint ventures are justifiable if undertaken for these reasons, for they facilitate activities that would not otherwise occur at all.
Sociologists have infrequendy examined joint ventures. When examined at all, it was from the perspective of both interorganizational and intraorganizational factors. Aiken and Hage (1968) studied joint activities (not quite the same thing, as they do not involve the creation of separate entities) among health and social welfare organizations. These authors proposed that common programs were undertaken to overcome the resource limitations of a single agency, while still maintaining the autonomy of the originating organizations. The question posed was what types of organizations would seek to overcome resource limitations, and the answer suggested was the more professional, complex organizations. Aiken and Hage (1968) focused on the structural correlates of the extent of participation in joint activities and found that complexity and professionalization of the staff both increased the likelihood that the organizations would engage in joint programs. This analysis, of course, does not directly test their central point that joint programs are a consequence of resource limitations.
The third conceptual framework for analyzing joint venture activity is similar to the one used to examine patterns of merger activity. This perspective assumes that joint ventures are another form of in-terorganizational coordination. If the principal problem organizations face is competitive and symbiotic interdependence, then it can be presumed that joint ventures cure undertaken to reduce uncertainty and promote stability in the environment. Joint ventures are likely to evolve between organizations for which the cooperative exchange is mutually reinforcing. Organizations will interlock around joint ventures t which coordinate otherwise problematic interdependence and are, therefore, primarily exchanges which reduce uncertainty about resource transactions.
Pate (1969) concluded that most joint ventures were not being ; undertaken for purposes of spreading investment risk or for undertaking technological development, but rather, were occurring among firms in a position either of competitive or of symbiotic interdependence with each other. Pate found that 80 percent of all joint ven- tures were between firms in competitive or buyer-seller relationships to each other. A similar result was reported by Boyle (1968), who also ; noted that for those joint subsidiaries for which size data were available, there was little evidence to support the conclusion that joint ventures were being undertaken because of resource limitations. The fact that joint ventures occur between organizations doing business or competing with each other does not necessarily imply that a collective structure has developed to manage interdependence. It may well be ; that the most likely candidates for projects involving risk or facilities sharing are other organizations with familiarity and interest in such undertakings. To determine whether joint ventures represent an * attempt to reduce uncertainty among interdependent organizations, we must examine how the level of joint venture activity varies as a function of the potential for reducing uncertainty.
1. A Model of Uncertainty Reduction
Interorganizational behaviors, such as joint venture activities, can be analyzed from the perspective of uncertainty reduction and the devel-ri opment of interorganizational collective structures. The number of in-terorganizational behaviors linking organizations varies considerably across contexts, and it is our hypothesis that this variation can be partially explained by considerations of uncertainty reduction. The model proposed derives from considerations of when it is most advantageous to engage in activities for the purpose of interorganizational coordination and the reduction of environmental uncertainty. We expect the propensity of firms to engage in joint ventures would be a function of both the need for reducing uncertainty and the feasibility of doing so effectively through interfirm linkages. As we have argued in i the case of mergers, the need for reducing uncertainty is a function of the industry structure. Uncertainty is greatest for organizations operating in industries of intermediate concentration, when there are enough large firms to affect one another’s outcomes but too many to coordinate tacitly. At very high levels of concentration, uncertainty is reduced since each firm can observe the others’ behavior and accommodate. Planning is possible because stable and accurate conjectural variations develop. Conjectural variations are defined as “one firm’s conjecture (or expectation) of how the other firm’s output will alter as a result of its own change in output” (Cohen and Cyert, 1965:231). When markets are not changing very fast and there are only a few participants, stability can be achieved through tacit coordination.
The uncertainty in organizational fields characterized by many small participants of relatively equal size is not likely to be troublesome. If firms are completely „Interdependent in an industry of 1000 firms, then when one changes, it will alter the business of the others by .1 percent. If the firms are not completely interdependent, the impact of change will have even less effect on the others. Thus, in unconcentrated industries, uncertainty deriving from, interdependence is minimal, and hence the need for interfirm coordination is low. We would, therefore, expect that the need for coordination would be greatest in cases of intermediate concentration.
The need for interorganizational communication by itself would not necessarily lead to cooperative ventures, as there is also the consideration of the feasibility of coordinating interdependence. The ” ability to develop an effective and stable collective structure is, in part, restricted by the number of others that must be coordinated. If only ; two organizations are involved, the possibility that some set of activities could be found around which they could interact to mutual advantage would be higher than if there were four organizations. As the , number of firms in the organizational field to be coordinated increases, the probability of developing an interorganizational structure through ,‘-informal or semiformal linkages decreases. Conversely, the more concentrated the industry, the more easily a stable structure can emerge through pair-wise interactions. The greater the number of organizations there are which can affect the interests of the focal organization, the less likely it is that interfirm linkages will improve the situation.
The ability of n number of organizations to communicate with each, other decreases as the number of organizations increases. The number of links required to fully connect a network of n organizations is: n(n-1)/2. When two organizations are involved, only one interchange,, is necessary. With 10 organizations, 45 linkages must take place to con-: nect the organizations fully. Thus, the feasibility of developing an-interfirm organization is increased when there are fewer firms to be organized.
The expectation that intermediate concentration in an industry is related to higher numbers of joint ventures is possibly contradictory to the prediction of other theories of joint venture activity. If joint ventures were, in fact, primarily designed to spread the risk of new ventures or technology, they would arise more when there were many small organizations which could not afford to absorb the risks alone.
To summarize the argument, we expect joint ventures (and other forms of interorganizational linkage) to be most likely when they are. necessary and feasible, that is, to be a function of both the level.of, potential uncertainty and the number of firms with which it is necessary to communicate to achieve effective coordination. We propose, , then, that the extensiveness of interorganizational communication through interlocking activities across industries can be explained by:
![]()
where X1 is the concentration in the industry, and X2 is the absolute value of the difference in concentration from an empirically determined top of the hypothesized inverted U-shaped relationship. Transformed by logarithms, we have hypothesized that:
![]()
It is this form of the equation that will be estimated.
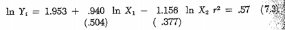
The Federal Trade Commission (1970) published data on the. amount of joint venture activity by two-digit SIC manufacturing industry. Using data from 1966 through 1969, to avoid choosing an unrepresentative year, the total number of joint ventures by industry was computed. Concentration data from Weiss (1963), used in the study of merger activity, were again employed. If we let Y1 be the number of joint ventures in each industry during the period, then the regression equation estimated is:
![]()
The numbers in parentheses are the standard errors of the respective regression coefficients. Both coefficients have the expected sign, indicating that joint ventures are more likely when concentration is higher and when there is less deviation from intermediate concentration. The two-variable formulation accounts for nearly 60 percent of the variation in the amount of joint venture activity across industries.
Source: Pfeffer Jeffrey, Salancik Gerald (2003), The External Control of Organizations: A Resource Dependence Perspective, Stanford Business Books; 1st edition
