Let us now turn to the second source of inefficiency in a moral hazard context— the agent’s risk aversion. When the agent is risk-averse, the principal’s program is written as:

It is not obvious that (P) is a concave program for which the first-order Kuhn and Tucker conditions are necessary and sufficient. The reason for this possible lack of concavity is that the concave function u(·) appears on both sides of the incentive compatibility constraint (4.3). However, the following change of variables shows that concavity of the program is ensured. Let us define u¯ = u(t¯) and u = u(t), or equivalently let t¯ = h(u¯) and t = h(u). These new variables are the levels of ex post utility obtained by the agent in both states of nature. The set of incentive feasible contracts can now be described by two linear constraints:
![]()
which replaces the incentive constraint (4.3), and also
![]()
which replaces the participation constraint (4.4).
Program (P ) can now be replaced by the new program (P’ ), which writes as

Note that the principal’s objective function is now strictly concave in (u¯, u) because h(·) is strictly convex. The constraints are now linear and the interior of the constrained set is obviously nonempty, and therefore (P’ ) is a concave problem, with the Kuhn and Tucker conditions being sufficient and necessary for character- izing optimality.
1. Optimal Transfers
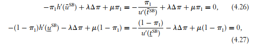
Letting λ and μ be the non-negative multipliers associated respectively with the constraints (4.24) and (4.25), the first-order conditions of this program can be expressed as

where t¯SB and tSB are the second-best optimal transfers. Rearranging terms, we get

The four variables
are simultaneously obtained as the solutions to the system of four equations (4.24), (4.25), (4.28), and (4.29). Multiplying (4.28) by π1 and (4.29) by 1 − π1, and then adding those two modified equations, we obtain
![]()
Hence, the participation constraint (4.25) is necessarily binding.
Using (4.30) and (4.28), we also obtain
![]()
where λ must also be strictly positive. Indeed, from (4.24) we have
implying that the right-hand side of (4.31) is strictly positive since u“ < 0. Using that (4.24) and (4.25) are both binding, we can immediately obtain the values of u(t¯SB) and u(tSB) by solving a system of two equations with two unknowns.
Note that the risk-averse agent does not receive full insurance anymore. This result must be contrasted with what we have seen under complete information in section 4.1.3. Indeed, with full insurance, the incentive compatibility constraint (4.3) can no longer be satisfied. Inducing effort requires the agent to bear some risk. Proposition 4.4 provides a summary.
Proposition 4.4: When the agent is strictly risk-averse, the optimal con- tract that induces effort makes both the agent’s participation and incentive constraints binding. This contract does not provide full insurance. More- over, second-best transfers are given by
![]()
and
![]()
It is also worth noting that the agent receives more than the complete infor- mation transfer when a high output is realized, t¯SB > h(ψ). When a low output is realized, the agent instead receives less than the complete information transfer, tSB < h(ψ). A risk premium must be paid to the risk-averse agent to induce his participation since he now incurs a risk by the fact that tSB < t¯SB. Indeed, when (4.4) is binding we have
![]()
where the right-hand side inequality in (4.34) follows from Jensen’s inequality. The expected payment
given by the principal is thus larger than the first-best cost CFB = h(ψ), which is incurred by the principal when effort is observable (as we have seen in section 4.1.3).
2. The Optimal Second-Best Effort
Let us now turn to the question of the second-best optimality of inducing a high effort, from the principal’s point of view. The second-best cost CSB of inducing effort under moral hazard is the expected payment made to the agent
. Using (4.32) and (4.33), this cost is rewritten as
![]()
The benefit of inducing effort is still B = ΔπΔS, and a positive effort e∗ = 1 is the optimal choice of the principal whenever


Figure 4.4: Second-Best Level of Effort with Moral Hazard and Risk Aversion
With h(·) being strictly convex, Jensen’s inequality implies that the right-hand side of (4.36) is strictly greater than the first-best cost of implementing effort CFB = h(ψ). Therefore, inducing a higher effort occurs less often with moral hazard than when effort is observable. Figure 4.4 represents this phenomenon graphically.
For B belonging to the interval [CFB, CSB], the second-best level of effort is zero and is thus strictly below its first-best value. There is now an under-provision of effort because of moral hazard and risk aversion.
Proposition 4.5: With moral hazard and risk aversion, there is a trade-off between inducing effort and providing insurance to the agent. In a model with two possible levels of effort, the principal induces a positive effort from the agent less often than when effort is observable.
In order to get further insights on the dependency of the second-best cost of implementation on various parameters, we can specialize the model and assume that
, where r > 0 and
. Equivalently,
for
. For this quadratic expression of h(·), we have
![]()
where E(·) denotes the expectation operator and u˜SB is the random utility level that the agent gets in the different states of nature. More precisely, we have
![]()
taking into account that (4.25) is binding at the optimal contract
. Moreover,
![]()
and
![]()
The agent receives a premium of
(in utility terms) when production is high and suffers a penalty
(in utility terms) when production is low. This risky payoff has a variance var ![]()
Gathering everything, we finally have the following expression of CSB:
![]()
The first-best cost of implementing effort with such a utility function would instead be

Hence, the agency cost AC, which is also the principal’s loss between his first-best and second-best expected profit when he implements a positive effort, can be defined as
![]()
This agency cost increases with r , a measure of the agent’s degree of risk aversion, with ψ, the cost of one unit of effort, and with
, which is a measure of the informational problem for the principal. Everything else being kept equal, it becomes harder and less often optimal for the principal to induce a high effort as η increases. When π1 is close to 1/2 , η is larger. In this case, the variance of the measured performance q˜ is the greatest possible one: the observable output is a rather poor indicator of the agent’s effort. Therefore, more noisy measures of the agent’s effort will more often call for inducing a low effort at the optimum and for a fixed wage without any incentives being provided. Finally, note that y is also larger when Δπ is small, i.e., when the difference in utilities
necessary to incentivize the agent gets larger. More generally, the agency cost’s dependence on η shows that the informational content of the observable output plays a crucial role in the design of the optimal contract. This is a general theme of agency theory that we will cover more extensively in section 4.6.
Source: Laffont Jean-Jacques, Martimort David (2002), The Theory of Incentives: The Principal-Agent Model, Princeton University Press.
