1. The Optimal Contract Under Asymmetric Information
The major technical difficulty of problem jP k, and more generally of incentive theory, is to determine which of the many constraints imposed by incentive com- patibility and participation are the relevant ones, i.e., the binding ones at the optimum of the principal’s problem.
A first approach could be to apply the Lagrangian techniques to problem jP k, once one has checked that the problem is concave. Even in this two-type model the number of constraints calls for a more practical route, where the modeler first guesses which are the binding constraints and checks ex post that the omitted constraints are indeed strictly satisfied. In a well-behaved incentive problem, this route is certainly more fruitful. In our very simple model, such a strategy provides a quick solution to the optimization problem. Moreover, it turns out to be more useful to build the economic intuition behind this model.
Let us first consider contracts without shutdown, i.e., such that q¯ > 0. The ability of the θ-agent to mimic the θ¯-agent implies that the θ-agent’s participation constraint (2.23) is always strictly satisfied. Indeed, (2.24) and (2.21) immediately imply (2.23). If a menu of contracts enables an inefficient agent to reach his status quo utility level, it will also be the case for an efficient agent who can produce at a lower cost. Second, (2.22) also seems irrelevant because, as guessed from Section 2.3, the difficulty comes from a θ-agent willing to claim that he is inefficient rather than the reverse.
This simplification in the number of relevant constraints leaves us with only two remaining constraints, the θ-agent’s incentive constraint (2.21) and the θ¯-agent’s participation constraint (2.24). Of course, both constraints must be binding at the optimum of the principal’s problem (P ). Suppose it is not so. Assume first that U¯ = ε > 0. Then the principal can decrease U¯ by ε and consequently also (from (2.21)) U by ε and gain ε. Therefore, U¯ = 0 is optimal. Also if
, ε > 0, the principal can decrease U by ε and gain
is also optimal. Hence, we must have
![]()
and
![]()
Substituting (2.25) and (2.26) into (2.20), we obtain a reduced program jP rk with outputs as the only choice variables
![]()
Compared with the full information setting, asymmetric information alters the principal’s optimization simply by the subtraction of the expected rent that has to be given up to the efficient type. The inefficient type gets no rent, but the efficient type θ gets the information rent that he could obtain by mimicking the inefficient type θ¯. This rent depends only on the level of production requested from this inefficient type.
Since the expected rent given up does not depend on the production level q of the efficient type, the maximization of (P’ ) calls for no distortion away from the first-best for the efficient type’s output, namely
![]()
However, maximization with respect to q¯ yields
![]()
Increasing the inefficient agent’s output by an infinitesimal amount dq increases allocative efficiency in this state of nature. The principal’s expected payoff is improved by a term equal to the left-hand side of (2.28) times dq. At the same time, this infinitesimal change in output also increases the efficient agent’s infor- mation rent, and the principal’s expected payoff is diminished by a term equal to the right-hand side above times dq.
At the second-best optimum, the principal is neither willing to increase nor to decrease the inefficient agent’s output, and (2.28) expresses the important trade-off between efficiency and rent extraction which arises under asymmetric information. The expected marginal efficiency gain (resp. cost) and the expected marginal cost (resp. gain) of the rent brought about by an infinitesimal increase (resp. decrease) of the inefficient type’s output are equated.
To validate our approach based on the sole consideration of the efficient type’s incentive constraint, it is necessary to check that the omitted incentive constraint of an inefficient agent is satisfied, i.e.,
. This latter inequality follows from the monotonicity of the second-best schedule of outputs since we have ![]()
For further references, it is useful to summarize the main features of the optimal contract (assuming that it is a contract without shutdown).
Proposition 2.1: Under asymmetric information, the optimal menu of contracts entails:
- No output distortion for the efficient type with respect to the first-best, qSB = q∗. A downward output distortion for the inefficient type,
with
![]()
- Only the efficient type gets a positive information rent given by
![]()
- The second-best transfers are respectively given by
and 
2. A Graphical Representation of the Second-Best Outcome
Starting from the complete information optimal contract (A∗, B∗) that is not incen- tive compatible, we can construct an incentive compatible contract (B∗, C) with the same production levels by giving a higher transfer to the agent producing q∗ (figure 2.4). The contract C is on the θ-agent’s indifference curve passing through B∗. Hence, the θ-agent is now indifferent between B∗ and C. (B∗, C) becomes an incentive-compatible menu of contracts. The rent that is given up to the θ-firm is now
.
Rather than insisting on the first-best production level q¯* for an inefficient type, the principal prefers to slightly decrease q¯ by an amount dq. By doing so, expected efficiency is just diminished by a second-order term
since q¯* is the first-best output that maximizes efficiency when the agent is inefficient. Instead, the information rent left to the efficient type diminishes to the first-order
. Of course, the principal stops reducing the inefficient type’s output when a further decrease would have a greater efficiency cost than the gain in reducing the information rent it would bring about. The optimal trade-off finally occurs at (ASB, BSB) as shown in figure 2.5.
Figure 2.4: Rent Needed to Implement the First-Best Outputs

Figure 2.5: Optimal Second-Best Contracts ASB and BSB
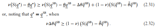
3. Shutdown Policy
If the first-order condition in (2.29) has no positive solution, q¯SB should be set at zero. We are in the special case of a contract with shutdown. BSB coincides with 0 and ASB with A∗ in figure 2.5. No rent is given up to the θ-firm by the unique non- null contract (t∗, q∗) offered and selected only by agent θ. The shutdown of the agent occurs when θ = θ¯. With such a policy, a significant inefficiency emerges
because the inefficient type does not produce. The benefit of such a policy is that no rent is given up to the efficient type.
More generally, such a shutdown policy is optimal when

The left-hand side of (2.32) represents the expected cost of the efficient type’s rent due to the presence of the inefficient one when the latter produces a positive amount q¯SB. The right-hand side of (2.32) represents instead the expected benefit from transacting with the inefficient type at the second-best level of output. Shut- down of the inefficient type is optimal when this expected benefit is lower than the expected cost.
Remark: Looking again at the condition (2.29), we see that shutdown is never desirable when the Inada condition S'(0) = +∞ is satisfied and limq→0 S'(q)q = 0. First, q¯SB defined by (2.29) is necessarily strictly positive. Second, note that we can rewrite
as
which is strictly positive since S(q) – S'(q)q is strictly increasing with q when S“ < 0 and is equal to zero for q = 0. Hence,
and shut-down of the least efficient type does not occur.
The shutdown policy is also dependent on the status quo util- ity levels. Suppose that, for both types, the status quo utility level is U0 > 0. Then (2.32) becomes (dividing by 1 − v)
![]()
Therefore, for v large enough, shutdown occurs even if the Inada condition S'(0) = +∞ is satisfied. Note that this case also occurs when the agent has a strictly positive fixed cost F > 0 (to see that, just set U0 = F ).
Coming back to the principal’s problem (P), the occurrence of shutdown can also be interpreted as saying that the principal has, on top of the agent’s production, another choice variable to solve the screening problem. This extra variable is the subset of types, which are induced to produce a positive amount. Reducing the subset of producing agents obviously reduces the rent of the most efficient type. In our two-type model, exclusion of the least efficient type may thus be optimal.
Source: Laffont Jean-Jacques, Martimort David (2002), The Theory of Incentives: The Principal-Agent Model, Princeton University Press.
