Sometimes the principal would like to relax the efficient type’s incentive constraint by making it somewhat costly for him to lie and claim that he is inefficient. One important way to do so is by using an audit technology that can detect the agent’s nontruthful report and allows for some punishment when a false report is detected. This audit technology allows the principal, at a cost, to verify the state of nature announced by the agent. Of course, the mere fact that this technology is costly may prevent its systematic use by the principal.
Let us assume that the principal owns an audit technology and that the agent’s true type can be observed with probability p if the principal incurs a cost c(p), with c(0) = 0, c’ > 0, and c” > 0. To ensure interior solutions, we assume that the following Inada conditions c'(0) = 0 and c’(1) = +∞ both hold.
1. Incentive-Feasible Audit Mechanisms
The possibility of an audit significantly enlarges the set of incentive-feasible mech- anisms. An incentive mechanism includes not only the transfer t(θ˜) and the output target q(θ˜) but also a probability of audit p(θ˜) and a punishment P(θ, θ˜) if the agent’s announcement θ˜ differs from its observed true type θ. We denote thereafter by
this audit mechanism with the obvious notations
. In equilibrium, the Revelation Principle applies and reports are truthful. Therefore, those punishments are never used. They will nevertheless significantly affect the incentive constraints.
Remark: We stress that the principal has the ability to commit to this mechanism. We will comment on the importance of this assumption later on. Furthermore, we do not allow rewards when audit reveals that the agent has revealed truthfully.
The Revelation Principle still applies in this context, and there is no loss of generality in focusing on truthful direct mechanisms satisfying the following incentive constraints:

Note that the positive punishments P and P¯ relax those incentive constraints if the audit is performed with a strictly positive probability.
Let us now turn to a description of those punishments. Punishments used in the literature can be classified into two subsets:
- Exogenous Punishments: P (resp. P¯) cannot be greater than some exogenous threshold l, so that

These exogenous punishments can be viewed as the maximal amount of the agents’ assets that can be seized in the case of a detected lie.
- Endogenous Punishments: P (resp. P¯) cannot be greater than the lying agent’s benefit from his false announcement:

In this case, the agent may have no asset to be seized by the principal. Only his profit from the relationship can now be taken back.
Of course, these two sets of constraints on punishments are mutually exclusive.
On top of the constraints (3.85) through (3.90), the usual participation constraints,

still must be satisfied by any incentive-feasible audit mechanism.
2. Optimal Audit Mechanism
The principal’s problem is now written as
![]()
subject to (3.85), (3.86), (3.91), (3.92), and either {(3.87), (3.88), or (3.89), (3.90)}.
A preliminary remark should be made. Although punishments help to relax incentive constraints, they do not enter directly into the principal’s objective func- tion since the Revelation Principle tells us that the agent’s reports are truthful and lies never occur.
As usual, we conjecture that only the upward incentive constraint (3.85) and the least efficient type’s participation constraint (3.92) are relevant.
Let us now turn to the value of the punishments. Both with endogenous and exogenous punishments, the constraint (3.87) and the constraint (3.89) should be binding, respectively. Indeed, by raising the punishment as much as possible in case of a detected lie by the efficient type, the principal can reduce the right-hand side of the efficient agent’s incentive constraint as much as possible, making it easier to satisfy. This is the so-called Maximal Punishment Principle.
Another important remark should be made at this point: there is no need to audit an agent claiming that he is efficient, because the inefficient type’s incentive constraint (3.86) is slack anyway and auditing is costly. Hence, we necessarily have p = 0 at the optimum. Similarly, the value of P¯ is irrelevant when (3.86) holds strictly.
Once (3.85) and (3.92) are both binding, we can also rewrite (3.89) as
![]()
We are thus led to optimize a reduced-form problem, which is written as

Proposition 3.6 summarizes the solution. The superscript A means audit.
Proposition 3.6: With audit, the optimal contract entails:
- Maximal punishments and either (3.87) (with exogenous punishments) or (3.93) (with endogenous punishments) is
- No output distortion with respect to the first-best outcome for the efficient type, qA = q∗, and a downward distortion for the less efficient type,
![]()
with exogenous punishment, and
![]()
with endogenous punishment.
- Only the inefficient type is audited with a strictly positive probability p¯A, such that
![]()
with exogenous punishment;
![]()
with endogenous punishment.
A comparison of the results obtained with endogenous and with exogenous punishments shows that, in both cases, a strictly positive probability of auditing the least efficient type is obtained. This probability trades off the physical cost of an audit against its benefit in diminishing the efficient type’s information rent. In the case of an exogenous punishment, increasing the probability of audit of the inefficient agent by a small amount dp¯ allows the principal to reduce the transfer t of the efficient type by an amount Pdp¯, where P is the exogenous maximal punishment. There is no distortion of production, which is still equal to the second- best optimal output without audit. We have q¯A = q¯SB, where q¯SB is defined in (2.28). Audit is only useful in reducing the incentive transfer, but it has no impact on allocative efficiency.
With an endogenous punishment, the small increase dp¯ in the probability of auditing allows the principal to reduce the transfer t to the efficient type by an amount
. Output distortions become less valuable as a means of reducing the efficient type’s information rent, and the audit becomes a substitute for high- powered incentives shifting output upwards towards the first-best. We have now
. Audit now has an allocative impact.
Finally, note that the solution exhibited in proposition 3.6 in the case of an exogenous punishment is really the solution as long as the efficient type’s partici- pation constraint (3.91) is slack, i.e., when
. Otherwise, the constraint
must be taken into account in the principal’s organization. The production distortion is then smaller, and the probability of audit p¯ lower.
Remark: Let us briefly comment on the commitment assumption. The key lesson of these audit models is that the principal must commit to auditing an inefficient firm with some probability in order to relax the efficient type’s incentive constraint. Of course, such commitment is ex post inefficient. Indeed, once the principal knows that only the inefficient firm claims, in equilibrium, that it is inefficient, he has no longer any incentive to incur the audit cost. However, if he does not audit, the efficient agent anticipates this. This efficient agent will not tell the truth anymore. Quite naturally, the lack of commitment to an audit strategy generates a mixed strategy equilibrium, where the efficient agent mixes between telling the truth or not and the principal mixes between auditing or not auditing an inefficient report.
The Maximal Punishment Principle is a term coined by Baron and Besanko (1984a). Border and Sobel (1987) provide a careful analysis of the set of binding incentive constraints with a finite number of types. The fundamental difficulty is that those models lose the Spence-Mirrlees property, and so the incentive problem with more than two types is badly behaved and quickly becomes intractable as the number of types grows. Mookherjee and P’ng (1989) analyzed an audit problem in an insurance setting. The specificity of their model comes from the fact that the agent is no longer risk neutral. A random audit significantly helps in relaxing the incentive constraint. Risk aversion gives another reason for using a stochastic audit mechanism, namely, increasing the risk exposure of an efficient agent if he lies and mimics an inefficient one. Khalil (1997) offered a nice treatment of the case without commitment. On this issue, see also Gale and Hellwig (1989). Reinganum and Wilde (1985) and Scotchmer (1987) provide two noticeable contributions to analyzing audit in the framework of the optimal taxation literature.
3. Financial Contracting
Audit models have been mainly developed in the financial contracting and optimal taxation literature. These models are different from the model we just discussed because of their focus on a continuum of types (profit levels) for the agent (for convenience, think of the agent as a borrower), and because the only screening instrument for the principal (a lender) is the probability of audit. In our model of section 3.6.2, the screening instruments are less crude since the principal can use the agent’s production even in the absence of an audit. Let us sketch this type of a financial contracting model. If the profit θ can take two possible values in
with respective probabilities 1 − v and v, the incentive contract is written as
. Note that, again, there is no point in auditing the high-profit agent, and p¯ = 0 at the optimum. The high-profit agent’s incentive constraint thus becomes
![]()
and the low-profit agent’s participation constraint is written as
![]()
In general, the financial contracting literature assumes endogenous punish- ments, so that
![]()
The justification of this assumption comes from the interpretation of the audit model, which is generally made by the financial contracting literature. The audit is often viewed as a costly bankruptcy procedure following a strategic announcement of default by the manager of the indebted firm. In this case, the debtholders reap all possible profits from the firm following a default. The lender’s problem is written as follows:

It is readily apparent that all of those constraints are binding at the optimum. This leads to the transfers
, and the maximal punish- ment
and an optimal probability of auditing an inefficient firm that is now given by
where Δθ is again the high-profit firm’s information rent when it is not audited by the principal.
In order to clarify the role of asymmetric information in constraining financ- ing, let us consider the case where the lender provides an amount of cash I to finance the borrower’s project. First-best efficiency calls for financing as long as the venture’s expected profits cover the investment, i.e., as long as
![]()
Under asymmetric information, the lender’s net profit is written as
![]()
or, using the definition of pA,
![]()
When the Inada condition c'(0) = 0 holds, pA > 0, and c(pA) + (1 − pA) · c'(pA) > 0. Hence, the set of values of the investment such that the lender makes a positive profit is reduced under asymmetric information. This can be interpreted as the source of some credit rationing.
In a model with a continuum of types, Gale and Hellwig (1985) show that the optimal contract with a deterministic audit involves two different regions. In the first one, there is verification of announced low profits if they are below a threshold R and of a full repayment if they are over this region. In the second region, there is no verification and a fixed repayment R. This optimal contract can be interpreted as a debt contract.
4. The Threat of Termination
In the audit model of the finance literature, the lender has only one tool with which to screen the borrower’s type: the probability of an audit. When an audit technology is not available, the lender may have to find other devices to induce information revelation. One such device is the threat of terminating financing.
In a model with two levels of profit, Bolton and Scharfstein (1990) argue that the threat of termination of a long-term relationship between a lender and his borrower may play the same role as an audit and also relaxes the efficient agent’s incentive constraint. They interpret their model as a debt contract where the probability of refinancing is contingent on the agent’s past performance. To understand the analogy between the Bolton and Scharfstein (1990) model and the costly state verification literature discussed above, let us consider the fol- lowing bare-bones model that stresses the threat of termination as an incentive device.
A cashless agent requires an amount of funds I to start a project. With prob- ability v (resp. 1 − v), this project yields profit θ¯ (resp. θ). We will assume that the project is socially valuable,
. Moreover, the worst profit is already enough to finance the project, θ > I. As in the literature on costly state verification, the level of profit is nonobservable by the lender. The lender will have to rely on the agent’s announcement of the realized profit to fix a repayment. However, a payment alone is not enough to screen the agent’s type: the threat of termination is the complementary screening device needed by the principal. Moreover, we assume that the agent is protected by limited liability and can never get a negative payoff.
Suppose now that the contractual relationship lasts for two periods with inde- pendently and identically distributed types or profits θ and without any discounting. Then, the lender can use the threat of terminating financing to induce information revelation in the first period as we will see later.
In the second period, it is still true that the maximal repayment that can be obtained by the lender is θ since this period ends the relationship and the principal does not have enough instruments to induce information revelation in this last period. Note that such a repayment yields an expected information rent vΔθ to the borrower if the relationship continues for the second period.
We denote a first period direct mechanism by
. The probability of not refinancing the firm (resp. the borrower’s payment) is now p¯ (resp. t¯) when the agent reports having a high profit θ¯ in the first period. A similar definition applies to p (resp. t).
The first period incentive compatibility constraints for both types are therefore written as
![]()
and
![]()
The intertemporal participation constraints for both types are also written as
![]()
and
![]()
Finally, because the agent is cashless to start with, the following first period limited liability constraints must be satisfied:
![]()
and
![]()
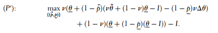
Knowing that the repayment he gets in the second period is always θ, the principal’s program is thus

We leave it to the reader to check that (3.104) and (3.109) are the only two constraints that are binding at the optimum. Hence, we obtain the following values of the first-period payments:
. Inserting these expressions into the principal’s objective function yields a reduced program that depends only on the probabilities of refinancing p¯ and p:

We index this optimal contract with a superscript R meaning refinancing. Because the project is valuable in expectation, it would be costly for the principal not to refinance the project following a high first-period profit, and therefore we have
. Following a high first-period profit, the project is therefore always refinanced with probability one.
Even if θ > I, it may well be that the fixed investment I is large enough so that

In this case, it is never optimal to refinance a project following a low first-period profit and pR = 1, as can be seen from (P’) by looking at the coefficient of p in the principal’s objective function. There exists a whole set of values for the cost of the project I, namely I in
, which are such that it is efficient to finance the project, under complete information, but asymmetric information implies that those projects are nevertheless not renewed following that announce- ment of a low first-period profit. It is interesting to note that the probability of not refinancing the project plays the same role as the probability of audit in a Townsend-Gale-Hellwig model. First, it relaxes the high-profit agent’s incentive constraint. Second, like auditing, not renewing finance is also costly for the prin- cipal, because projects are always socially valuable.
Finally, note that the lender’s intertemporal profit under asymmetric infor- mation becomes
. It is obviously lower than the intertemporal profit when profit is verifiable
, but it is greater than realizing the project each period and asking for a payment h that yields 2(θ − I).
The idea that the threat of termination of a relationship is a pow- erful incentive device in an adverse selection framework is used in many areas of incentive economics. An earlier contribution to the finance and the labor literatures was made by Stiglitz and Weiss (1983). In the case of sovereign debt, it has often been argued that the threat of not refinancing a country could be used to foster debt repayment (see Allen 1983, and Eaton and Gersovitz 1981).
Source: Laffont Jean-Jacques, Martimort David (2002), The Theory of Incentives: The Principal-Agent Model, Princeton University Press.
