The connections that link market s tructure and technical progress with o ther aspects of industry performance clearly are very complex. The modeling challenge is to devise a simple formal structure that enables the exploration of some of the more interesting of these con nections and that is transparent enough so that the results of the model can be understood and reconsidered in the context of the more complicated reality.
Our model is of an industry in which a number of firms produce a single homogeneous product. The industry faces a downward sloping demand curve . At any particular time, each firm operates a single technique-the best it knows . All techniques are character ized by constant returns to scale and fixed input coefficients. A firm will use its best technique to the maximum level permitted by its ex isting stock of capital, purchasing needed complementary inputs on factor markets. It is assumed that factor supplies are p erfectly elastic and that factor prices are constant over the period in question. The technique used by each firm thus determines its unit costs. Given each firm’s capital stock and its technique, industry output and prod uct price are determined. The price-cost margin for each firm, then, is determined as well.
Each technique requires the same complementary inputs per unit of capital; techniques differ in terms of output per unit of capital. Input prices facing the industry are constant; thus, costs per unit of capital are constant across firms and over time. But the cost of a unit of output is a variable in the model, since productivity will in general vary across firms and increase over time as better techniques- ones that produce more output per unit of capital-are discovered and implemented. A firm can discover a more productive technique, one that enables output to be produced at lower unit cost, by two methods: by doing R&D that draws on a general fund of relevant technological knowledge or by. imitating the production processes of other firms . Either method involves expenditures on R&D, and such expenditures yield uncertain outcomes.
Firms m ay differ in their policies toward innovation and imita tion. Both innovation and imitation policies are defined in terms of expenditure on these kinds of R&D per unit of capital . Thus, as the firms grow or decline, so do their R&D expenditures on imitation and innovation. The innovation and imitation policies of the firms, together with their size, determine their R&D spending on these activities.
We model both kinds of R&D as a two-stage random sampling process. Within a given period the probability that a firm may take a “draw” on the set of innovation possibilities, or the set of imitation possibilities, is proportional to the firm’s spending on these activi ties. Hence, over a run of many periods, the realized average number of innovation and imitation draws per period is proportional to the firm’s average expenditures per period on these kinds of R&D. An innovation draw is a random sampling from a probability distribu tion of technological alternatives. Our specification of that probabil ity distribution will be discussed below. An imitation draw will, with certainty, enable the firm to copy prevailing best practice. In this model, there are no economies of scale of doing R&D: big firms spend more on R&D than do small firms and thus have a greater chance each period of an R&D d raw, but that increased chance is only j ust proportional to their greater spending. There are, though, J/appropriability advantages” of large firm size. Once a firm has ac quired access to a new technique through either innovative or imita tive R&D, it can apply that technique to i ts entire capacity without further costs. Thus, we set aside issues relating to the embodiment of technical advance and assume away any possibilities that a large firm may be slower than a small firm to adopt a new technique fo und through R&D.
We will consider two different specifications of the distribution from which a firm samples if it has an innovation draw . These dif ferent regimes of technological change imply quite different relation ships between industry productivity growth and industry R&D spending.
In one of these regimes, which we shall call the “science-based” case, we view the distribution sampled by an innovative R&D draw as improving over time as a result of events going on outside the industry-for example, advances in fundamental science occurring in universities. At any time, firms sample from a log normal distribu tion of values of the average productivity of capital . (Recall that all other inputs are proportional to capi tal in all feasible techniques.) The mean (log) of this distribution increases over time at a rate we call the rate of growth of ” latent productivity.” Under this specifica tion, what a firm finds today as a result of an innovation draw is independent of what it might have found last year or the year before. And the population being sampled is richer in productive techniques than the one sampled earlier. Innovative R&D by a firm can be inter preted as its efforts to keep up with a moving set of new tech nological possibilities created outside the industry. Less R&D by a firm or by the industry as a whole means that that moving frontier is tracked less closely. In the other regime, as in the models employed in Chapters 7 and 9, the distribution of innovative R&D outcomes is centered on the prevailing productivity of a firm, and there is no ex ogenous determination of technological possibilities. An innovation draw is, in effect, a draw on a constant distribution of proportional increments to the firm’s prevailing productivity level. Small incre ments are more likely than large ones. An innovative R&D success buys a firm not only a better technique, but a higher platform for the next period’s search. We call this the “cumulative technology” case. Market s tructure evolves endogenously. Given the capital stocks and techniques of the firms in a particular period, output for that period is determined. The demand curve then determines price, and productivity levels (given input prices) determine production cost. For each firm the ratio of price to unit production cost-which we call the “price-cost ratio”- is determined. (Given the assumption that all inputs are proportional to capital and all input prices con stant, the rate of return on capital in production-abstracting from R&D costs-is monotonically related to the p rice-cost ratio.)
We assume that a firm’s desire to expand or contract is governed by its price-cost ratio and its prevailing market share, within con straints set by the assumed physical depreciation rate of capital and the firm’s ability to finance investment. For fi rms of a given size, the greater the ratio of price to production cost, the greater the desired proportional expansion . And the greater the price-cost ratio, the greater the firm’s retained earnings and the greater its ability to per suade the capital market to provide fi nance . However, R&D expendi tures, like production costs, reduce the funds available for invest ment.
Since this is an industry in which all fi rms produce the identical product, it makes better sense to see fi rms as having “quantity poli cies” rather than as having “price policies.” Quantity policies are made operative through the fi rm’s investment decisions . (Recall that we have assumed that a fi rm always operates at full capacity.) Firms with large market shares recognize that their expansion can spoil their own market. The larger a firm’s current market share, the greater must be the price-cost ratio needed to induce a given desired proportional expansion . By varying the shape of this relationship, a spectrum of possible patterns of investment behavior may be represented . These patterns may be interpreted as reflecting the assump tions of the fi rm regarding the effect that an increase in its output will have on the industry price. In the simulation runs analyzed later in this chapter, the assumption involves a correct perception that the industry demand curve is of unitary elasticity and a belief that the re mainder of the industry responds along a supply curve that is also of unitary elasticity. In the following chapters, we contrast two pat terns, one of which reflects somewhat greater wariness about spoiling the market than the assumption just described and the other of which involves no wariness at all . The first may be termed a “Cournot” strategy: a firm picks a target capital stock on the basis of a correct appraisal of the industry demand elasticity and a belief that the other firms will hold output constant. In the second pattern the firm behaves as if it believed that the price would not be affected at all by its own output changes; that is, it behaves as a price taker.
More formally , the model has the following structure.
![]()
The output of firm i at time t equals its capital stock times the produc tivity of the technique it is employing.

Industry output is the sum of individual firm outputs. Price is deter mined by industry output, given the product demand-price func tion, D(·).
![]()
The profit on capital of that firm equals product price times output per unit of capital, minus production costs (including capital rental) per unit of capital, minus imitative and innovative R&D costs per unit of capital.
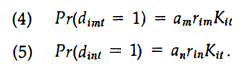
R&D activity generates new productivity levels by a two-stage random process. The fi rst stage may be characterized by indepen dent random variables dimt and dint that take on the values one or zero according to whether firm i does or does not get an imitation or inno vation draw in period t. Success in getting such draws occurs with respective probabilities:

(Parameters are chosen so that the upper- bound probability of one is not encountered.) If a firm does get an imitation draw, it then has the option of observing and copying industry best practice. If a firm gets an innovation draw, it samples from a distribution of technological opportunities, F(A; t, Ait). This distribution is a fu nction of time and is independent of a firm’s prevailing technique in the science-based case. It is independent of time per se but dependent on the firm’s pre vailing technique in the cumulative technology case.
For a firm that obtains both an imitation and innovation draw in the particular period, the productivity level of following periods is given by:
![]()
Here At is the highest (best practice) productivity level in the in dustry in period t, and Ait is a random variable that is the result of the innovation draw. Of course, the firm may fail to obtain an imitation draw, an innovation draw, or both, in which cases the menu from which next-period productivity is drawn is shorter.
A firm’s desired expansion or con traction is determined by the ratio of price to production cost, P/(c/A) -or, equivalently, the per centage margin over cost-and its market share. But a firm’s ability to finance i ts investment is constrained by i ts profitability, which is affected by its R&D outlays as well as by revenues and production costs.

Here, δ is the physical depreciation rate, and the gross investment function 1( .) is constrained to be nonnegative. It is nondecreasing in its first argument and nonincreasing in the second. Also, we assume that
![]()
In other words, a firm that has price equal to unit cost, negligible market share, zero R&D expense and hence zero profit will have zero net investment.
There are two key differences between our model and other recent formal models of Schumpeterian competition – for example, those surveyed in Kamien and Schwartz (1975, 1981) or that presented by Dasgupta and Stiglitz (1980) or Flaherty (1980) . The strategies or poli cies assumed of our firms are not derived from any maximization cal culations, and the industry is not assumed to be in equilibrium.
An essential aspect of real Schumpeterian competition is that firms do not know ex ante whether it pays to try to be an innovator or an i mi tator, or what levels of R&D expenditures might be appropri ate. Indeed, the answer to this question for any single firm depends on the choices made by other firms, and reality does not contain any provisions for firm s to test out their policies before adopting them. Thus, there is little reason to expect equilibrium policy configurations to arise. Only the course of events over time will det ermine and reveal what strategies are the better ones . And even the verdict of hindsight may be less than clear, for differences in luck will make the same policies brilliantly successful for some firms and dismal failures for others.
To understand the pro”cess of industry evolution, we have chosen to focus on cases in which firm R&D policies are strictly constant over time. This might be defended as an approximation of empirical real ity by some combination of arguments involving high setup and ad justment costs in real R&D programs, bureaucratic sluggishness, and difficulties in distinguishing signal from noise in the feedback on a prevailing policy. But in our view a more fundamental justification for this approach is methodological. If competition is aggressive enough . and the profitabili ty differences among policies are large enough, differential firm growth will soon make the better policies dominate the scene, regardless of whether individual firms adjust or not. If, however, the model sets the stage for an evolutionary struggle that is quite protracted (as those in reality often are) . then admitting policy change at the individual firm level is unlikely to change the general industry environment much and it certainly complicates the task of understanding the dynamic process . To forgo the attempt to understand the process, as orthodoxy does, is to leave open the question of the promptness and efficacy of the forces pressing the system toward equilibrium. It is also to overlook the shaping role of differential firm growth as a determinant of the sort of equilibrium toward which the industry may be moving. While it would not be difficult to augment the model by admitting adaptive R&D policies, in order to clarify the evolutionary role of selection we have chosen not to do this . On the same ground, we have devoted our attention to cases in which entry is barred .
The model defines a stochastic dynamic system in which, over time, productivity levels tend to rise and unit production costs tend to fall as better technologies are found. As a result of these dynamic forces, price tends to fall and industry output tends to rise over time. Relatively profitable firms expand and unprofitable ones contract, and those that do innovative R&D may thrive or decline. In turn, their fate influences the flow of innovations.
Source: Nelson Richard R., Winter Sidney G. (1985), An Evolutionary Theory of Economic Change, Belknap Press: An Imprint of Harvard University Press.
